Matematik 4 5000 uppgift som handlar om trigonometri
Hej! I a fick jag att derivatan av cos blev 0 och av sin blev pi/180
men den fastnar jag i b . Jag förstår inte hur jag ska tänka
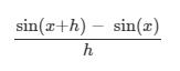
Tanken är nog att man ska titta på derivatans definition:
och utveckla uttrycket.
svaret i b är pi/180
och hur jag ska komma fram till svaret vet jag ej
Meningen är att du skall se "Oj då, det är ju derivatan jag har räknat ut redan i a-uppgiften! Då är det bara att skriva svaret på b så är jag klar."
Jaha okej när jag beräknar gränsvärdet av sin h/h så är det derivatan av sin h jag beräknar.. Vilket är detsamma som pi/180. Är det så man ska resonera
Om du utvecklar 
med hjälp av additionssatsen för sin(u+v) kommer du att få ett uttryck, där informationen i a) passar in.