Matematik specialisering: Integraler med partiell integration
Hej! Behöver hjälp med följande uppgift. Kommer inte längre än bilden nedan visar. Hur bör jag göra för att komma framåt? Svaret ska bli: ln(cos x) + x*tan(x) + c

Hur fick du det grönmarkerade ?

Om man är lite van kanske man känner igen 1/cos^2 som derivatan av ...
Det är i så fall ide att integrera den deln och derivera den andra
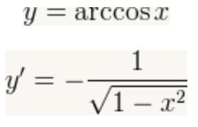
Spontant tänker jag att 1/cos^2(x) kan omvandlas till cos^-2(x), vilket är detsamma som arcCos^2(x). Kan det stämma? Annars tar jag tacksamt emot lite hjälp på traven:)
Använder då denna definition för att omvandla arcCos till dess derivata. 
Nej det är ett missförstånd pga att man numera har den dåliga vanan att skriva arccos som cos-1
vilket är dubbeltydigt.
cos-1 är i min värld 1/cos
arccos är inversfunktionen till cos och därmed absolut inte 1/cos
Nåväl 1/cos2 (x) känner jag igen som derivatan av tan(x), kan det vara till ngn hjälp?
Ett tips här är som Yngve hintar till en trigsubstitution. Typ:
Låt . Då blir …?
(Går naturligtvis med partiell integrering också!)