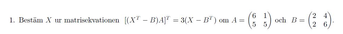
matris ekvationer


har jag tänkt rätt? Känns orimligt att jag är given matrisen för A om jag inte använder den.
Jag får det till att
(XT-B)T=X-BT
vilket gör att om du behåller högerledet från rad 1 och har kvar vänsterledet från rad 3 så får du:
AT*(X-BT) = 3*(X-BT)
vilket vad jag kan se gör att uttrycken inom parenteserna måste bli nollmatriser, vilket också är det du kom fram till.
Jag tror dock du gör fel mellan rad 5 och 6; X-matrisen i vänsterledet bör hamna till höger om parentesen. Samma fel händer mellan rad 6 och rad 7 i högerledet fast för BT.
Bedinsis skrev:Jag tror dock du gör fel mellan rad 5 och 6; X-matrisen i vänsterledet bör hamna till höger om parentesen. Samma fel händer mellan rad 6 och rad 7 i högerledet fast för BT.
Precis.
ATX-3X = (AT-3)X, inte X(AT-3).
Liknande fel görs i HL en rad under vilket gör att du ändå får samma resultat.
Jaha, är det p.g.a egenskaperna med matriser?
(AB)^T = B^T*A^T
Har pluggakuten inbyggd latex?
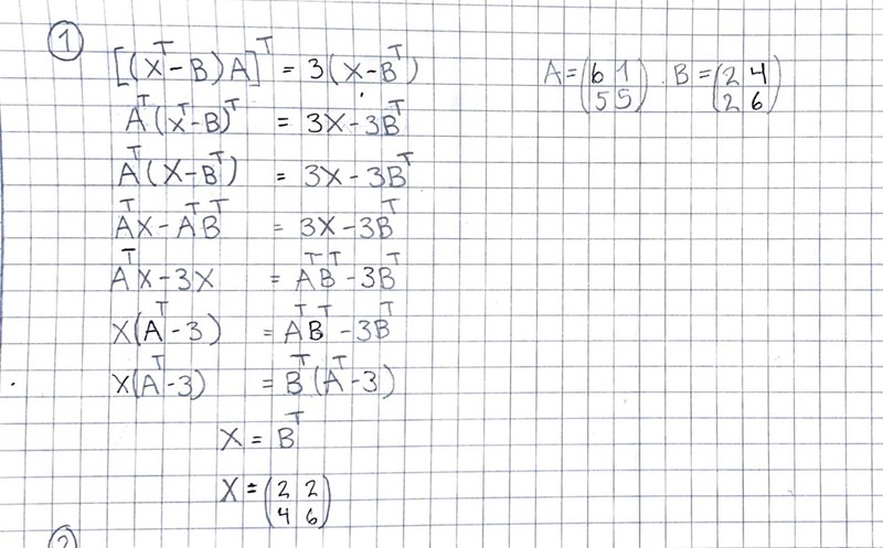
Bedinsis skrev:Jag får det till att
(XT-B)T=X-BT
vilket gör att om du behåller högerledet från rad 1 och har kvar vänsterledet från rad 3 så får du:
AT*(X-BT) = 3*(X-BT)
vilket vad jag kan se gör att uttrycken inom parenteserna måste bli nollmatriser, vilket också är det du kom fram till.
Jag tror dock du gör fel mellan rad 5 och 6; X-matrisen i vänsterledet bör hamna till höger om parentesen. Samma fel händer mellan rad 6 och rad 7 i högerledet fast för BT.

Jag gjorde om det och har förhoppningsvis brytit ut åt rätt håll.
Får dock återigen att X är B transponerat
Ja, det höll jag med om att resultatet borde bli.
aljomatrix skrev:Jaha, är det p.g.a egenskaperna med matriser?
(AB)^T = B^T*A^T
Har pluggakuten inbyggd latex?
Ja: https://www.pluggakuten.se/trad/guide-till-latex-pa-pa/
Tack för hjälpen! :)