Molförhållande och begränsade reaktorer
Hej! Jag behöver hjälp med uppgiften nedan

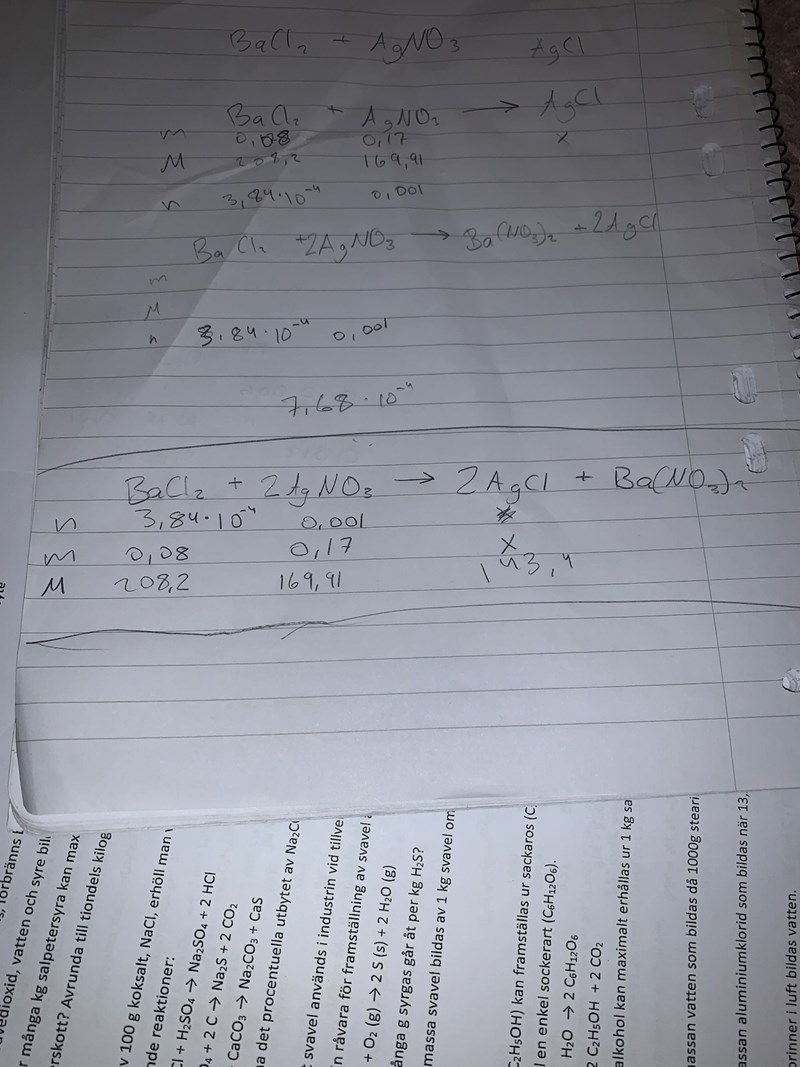
Jag har räknat ut a, men behöver hjälp med b. Jag har räknat ut substansmängderna för BaCI2 och 2AgNO3 men vet inte hur jag ska ta reda på 2AgCI substansmängd. Jag vet att det har något med molförhållande att göra men ska jag använda mig at BaCI2 substansmängd eller 2AgNO3 substansmängd för att ta reda på AgCI mol.

jag vet att det har något med begränsade reaktor att göra men vet inte vad jag ska göra av det
Nedan finns ett lösningsförslag av mig till uppgiften:
Lösningsförslag
Det vi måste börja med är att ställa upp en reaktionsformel:
Ag+ + Cl- → AgCl
0.17 g silvernitrat ger att vi har av silvernitratet. Det innebär att vi har lika många mol silverjoner. Sedan tar vi fram substansmängden klorjoner: .
Eftersom det finns färre mol kloridjoner än silverjoner och molförhållandet är 1:1 vet vi att kloret är den begränsande faktorn. Så det kommer fortsätta bildas fällning tills kloret tar slut, det vill säga tills 0.77 ⋅ 10-3 mol klorjoner har gått åt. Enligt molförhållandet mellan Cl- och AgCl vet vi att det bildas lika många mol AgCl som det finns Cl-. Silverklorid har molmassan: 143.32 g/mol. Det ger att det bildas:
mAgCl= (0.77 ⋅ 10-3 mol) ⋅ (143.32 g/mol) ≈ 0.11 g
Jag tror detta borde stämma rent uträkningsmässigt men det kanske finns något fel då det är ganska sent när jag skriver det här. Hur som helst är tankesättet korrekt.
naytte skrev:Nedan finns ett lösningsförslag av mig till uppgiften:
Lösningsförslag
Det vi måste börja med är att ställa upp en reaktionsformel:
Ag+ + Cl- → AgCl
0.17 g silvernitrat ger att vi har av silvernitratet. Det innebär att vi har lika många mol silverjoner. Sedan tar vi fram substansmängden klorjoner: .
Eftersom det finns färre mol kloridjoner än silverjoner och molförhållandet är 1:1 vet vi att kloret är den begränsande faktorn. Så det kommer fortsätta bildas fällning tills kloret tar slut, det vill säga tills 0.77 ⋅ 10-3 mol klorjoner har gått åt. Enligt molförhållandet mellan Cl- och AgCl vet vi att det bildas lika många mol AgCl som det finns Cl-. Silverklorid har molmassan: 143.32 g/mol. Det ger att det bildas:
mAgCl= (0.77 ⋅ 10-3 mol) ⋅ (143.32 g/mol) ≈ 0.11 g
Jag tror detta borde stämma rent uträkningsmässigt men det kanske finns något fel då det är ganska sent när jag skriver det här. Hur som helst är tankesättet korrekt.
Man kan väl skriva nAg - nCI, för = hur många mol som inte reagerar. Det är väl en formel för något? Men kan inte namnet av den
naytte skrev:Nedan finns ett lösningsförslag av mig till uppgiften:
Lösningsförslag
Det vi måste börja med är att ställa upp en reaktionsformel:
Ag+ + Cl- → AgCl
0.17 g silvernitrat ger att vi har av silvernitratet. Det innebär att vi har lika många mol silverjoner. Sedan tar vi fram substansmängden klorjoner: .
Eftersom det finns färre mol kloridjoner än silverjoner och molförhållandet är 1:1 vet vi att kloret är den begränsande faktorn. Så det kommer fortsätta bildas fällning tills kloret tar slut, det vill säga tills 0.77 ⋅ 10-3 mol klorjoner har gått åt. Enligt molförhållandet mellan Cl- och AgCl vet vi att det bildas lika många mol AgCl som det finns Cl-. Silverklorid har molmassan: 143.32 g/mol. Det ger att det bildas:
mAgCl= (0.77 ⋅ 10-3 mol) ⋅ (143.32 g/mol) ≈ 0.11 g
Jag tror detta borde stämma rent uträkningsmässigt men det kanske finns något fel då det är ganska sent när jag skriver det här. Hur som helst är tankesättet korrekt.
tack så jättemycket!
Så alltså så måste man ta den begränsade reaktorn och multiplicera med molmassan av det ämnet man vill ta reda massan på. Är det alltid så att man tar det ment dom har minst antal mol då?
Molförhållandet mellan kloridjonerna och silvernitratet är 1:1. Det innebär att om vi har en mol kloridjoner kommer vi få en mol silverklorid (om vi har oändligt med silverjoner).
Är det alltid så att man tar det ment dom har minst antal mol då?
När någon av reaktanterna tar slut kommer ingen reaktion kunna ske längre. Så den som tar slut först är den man får räkna med.
naytte skrev:Molförhållandet mellan kloridjonerna och silvernitratet är 1:1. Det innebär att om vi har en mol kloridjoner kommer vi få en mol silverklorid (om vi har oändligt med silverjoner).
Är det alltid så att man tar det ment dom har minst antal mol då?
När någon av reaktanterna tar slut kommer ingen reaktion kunna ske längre. Så den som tar slut först är den man får räkna med.
tack så mycket!!!!!! du räddar mitt liv