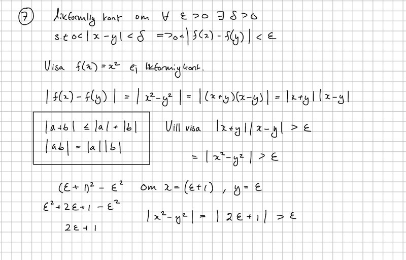
mot bevisa likformig kontinueligtet
frågan

min lösning:

är detta rätt eller fel?
Du har motbevisat olikheten för delta > 1. Du bör motbevisa den för godtycklygt delta.
Macilaci skrev:Du har motbevisat olikheten för delta > 1. Du bör motbevisa den för godtycklygt delta.
Så hur ska jag höra annars?
Du valde och x=y+1.
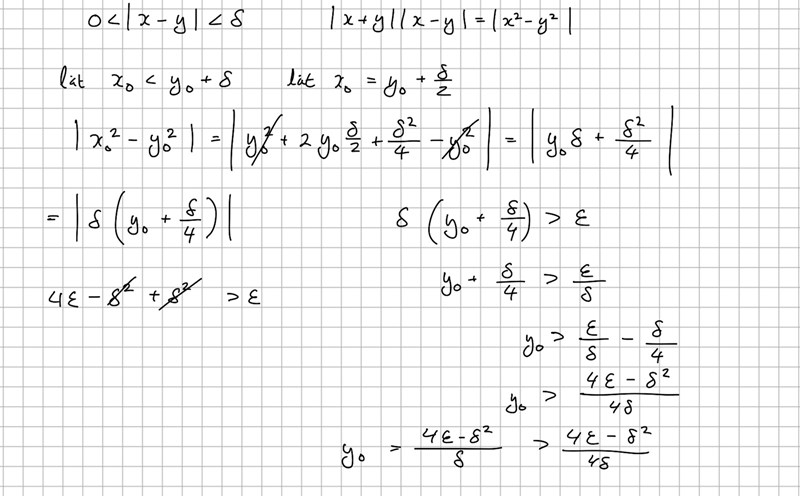
Du ska i stället bevisa att det finns ett värde för y (låt oss säga y0) och
så att .
Visa spoiler
För brukar man välja
Macilaci skrev:Du valde och x=y+1.
Du ska i stället bevisa att det finns ett värde för y (låt oss säga y0) och
så att .
Visa spoiler
För brukar man välja
Är detta rätt?
Ja, bra lösning. Glöm inte att förklara vad resultatet betyder.
(Att för varje epsilon och delta man kan hitta y0 och x0 sådant att olikheten inte gäller.)
Macilaci skrev:Ja, bra lösning. Glöm inte att förklara vad resultatet betyder.
(Att för varje epsilon och delta man kan hitta y0 och x0 sådant att olikheten inte gäller.)
tack för hjälpen ^^
Macilaci skrev:Ja, bra lösning. Glöm inte att förklara vad resultatet betyder.
(Att för varje epsilon och delta man kan hitta y0 och x0 sådant att olikheten inte gäller.)
Innebär den sista raden helt enkelt att för godtyckligt delta och epsilon är det bara att välja ett y0 (där ett x0 följer) enligt sista raden så stämmer olikheten?
Jaha, den sista raden är lite konstig. Lösningen är redan klar med .
Den sista raden (och den näst sista raden) behövs inte.Jag tycker att de inte är fel, utan är överflödiga.