Multipel

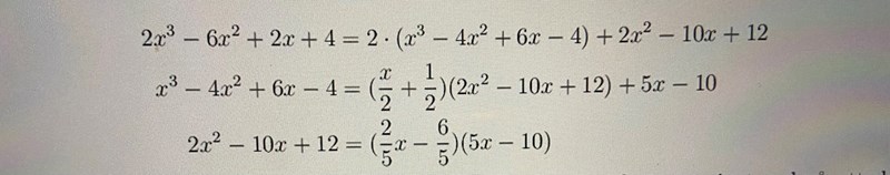
Hej! Jag förstår inte riktigt varför det på rad 2 multipliceras med (), x/2 förstår jag i och med att 2x^2 måste multipliceras med denna för att det ska bli som på HL. Men hur fick man fram +1/2?
Hur ser uppgiften ut från bärjan?

Det är uppgift a) som berörs, jag förstår hur man går tillväga för att lösa själva uppgiften men har svårt för att se hur man kom fram till att multiplicera HL på rad 2 i lösningen med och mer specifikt varför just +1/2
Jag hittade denna LÄNK på nätet.
Där står att "Först divideras f med g med kvot och rest. Sedan divideras g med resten, första resten med andra resten osv, till dess att en division går jämnt upp och resten därmed blir noll." Om vi byter ut f och g mot m och n så ser vi att efter första divisionen har vi 2 som svar och som rest. Det stämmer helt med första raden. Därefter så dividerar vi n med resten och får som svar och som rest.
För att utföra den andra divisionen dividerade vi med 2. För att kunna multiplicera svaret med så dividerar vi det med 2 eftersom det var resultatet av divisionen med 2 som gav vårt senaste svar. Alltså så dividerar vi med 2 och får .