49 svar
1313 visningar
OliviaH behöver inte mer hjälp
OliviaH 1041 – Fd. Medlem
Postad: 27 maj 2022 16:43

Multiplikation och division med komplexa tal

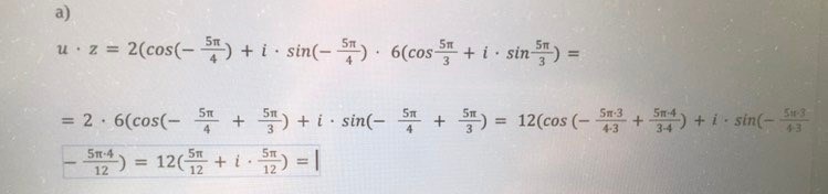
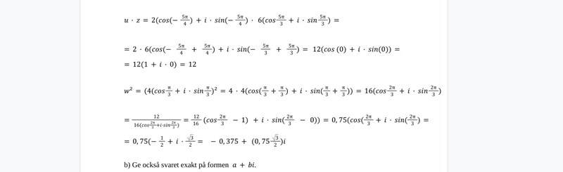
3)  Man har de komplexa talen 

 u=2(cos (-5π/4) +i sin (-5π/4) , 

z=6(cos (5π/3) +i sin (5π/3)

och   w= 4(cos (pi/3) +i sin (pi/3) .

 

a) Bestäm talet
uz/w²

 på polär form, där argumentet ges i intervallet 0 ≤arg uz/w² ≤ 2π.

 

Såhär har jag försökt lösa den, är det rätt?

Ture 11108
Postad: 27 maj 2022 18:01 Redigerad: 27 maj 2022 18:02

oops du hade gjort som jag skrev...

OliviaH 1041 – Fd. Medlem
Postad: 27 maj 2022 18:02

ehm, då måste den vara korrekt? 

Ture 11108
Postad: 27 maj 2022 18:03

Förhoppningsvis, jag har inte lusläst din lösning, bara tittat på den metod du använder, och den är rätt!

OliviaH 1041 – Fd. Medlem
Postad: 27 maj 2022 18:04

hmm, då kanske den är fel ändå, har du lust att lusläsa den? 

Ture 11108
Postad: 27 maj 2022 18:06

du gör fel på andra raden argumentet har fel nämnare på andra termen i cos och sin uttrycken. Står -5pi/4+5pi/4 ska vara -5pi/4+5pi/3

OliviaH 1041 – Fd. Medlem
Postad: 27 maj 2022 18:27

oj, ja såg det nu. Är detta rätt? Vet bara inte hur jag ska göra sista ledet.. 

Ture 11108
Postad: 27 maj 2022 19:29

så långt OK.

Nu ska du dela med w2 som du gjorde i första inlägget

OliviaH 1041 – Fd. Medlem
Postad: 28 maj 2022 09:55

Nu gjorde jag såhär, man kanske kan hitta en mindre gemensam nämnare? Jag valde 24.. 

Yngve 42550
Postad: 28 maj 2022 11:47

Ja, du kan förenkla 6/24 till ett enklare bråk.

OliviaH 1041 – Fd. Medlem
Postad: 28 maj 2022 12:33

är det jag gjort rätt, för får ändå ett bra tal i slutet (pi/4). Hur kan jag göra annars?

Yngve 42550
Postad: 28 maj 2022 12:36

Dina uträkningar är rätt, men läs uppgiften igen så att du svarar på rätt form.

OliviaH 1041 – Fd. Medlem
Postad: 28 maj 2022 12:46

Ska vara i detta tror jag.. 0,75cos(-π4+i·sin(-π4)

 

Men argumentet blir mindre än 0? 

Yngve 42550
Postad: 28 maj 2022 13:14 Redigerad: 28 maj 2022 13:14
OliviaH skrev:

Ska vara i detta tror jag.. 0,75cos(-π4+i·sin(-π4)

Rätt, förutom att det saknas en högerparentes.

Men argumentet blir mindre än 0? 

Ja, men du vet att cosinus- och sinusfunktionerna har en periodicitet på 2pi, så du kan lägga till 2pi till argumentet och ändå få samma komplexa tal.

OliviaH 1041 – Fd. Medlem
Postad: 28 maj 2022 13:52 Redigerad: 28 maj 2022 13:55

ja, det har 2 pi som period, och om jag lägger till 2 pi så får jag positiv pi/4 ellerhur? Hur skriver jag det i beräkningen?

0,75(cos(-π4+2π)+i·sin(-π4+2π) ? = 0,75(cos(π4)+i·sin(π4)

Smaragdalena 78892 – Avstängd
Postad: 28 maj 2022 14:05 Redigerad: 28 maj 2022 14:05

Nej, hur räknade  du nu?

Rita in talet i det komplexa talplanet, så slipper du nog den sortens fel.

OliviaH 1041 – Fd. Medlem
Postad: 28 maj 2022 14:27

vet inte hur jag ritar in det

Yngve 42550
Postad: 28 maj 2022 14:30 Redigerad: 28 maj 2022 14:31

-pi/4+2pi är inte lika med pi/4, lika lite som -0,25+2 är lika med 0,25.

OliviaH 1041 – Fd. Medlem
Postad: 28 maj 2022 14:58

jag förstod det nu, men vet inte hur jag ska göra

Yngve 42550
Postad: 28 maj 2022 15:02

Menar du att du inte vet hur du ska beräkna -π4+2π-\frac{\pi}{4}+2\pi?

Smaragdalena 78892 – Avstängd
Postad: 28 maj 2022 15:10
OliviaH skrev:

vet inte hur jag ritar in det

Som i ett vanligt koordinatsystem,  med realdelen på x-axeln och imaginärdelen på y-axeln.

OliviaH 1041 – Fd. Medlem
Postad: 28 maj 2022 15:13

ja, men då är det i nu har jag pi? Hur gör jag då

Yngve 42550
Postad: 28 maj 2022 15:21 Redigerad: 28 maj 2022 15:23
OliviaH skrev:

ja, men då är det i nu har jag pi? Hur gör jag då

Pi är ett vanligt reellt tal som hanteras på exakt samma sätt som andra reella tal.

Vet du då hur du ska kunna förenkla -π4+2π-\frac{\pi}{4}+2\pi?

OliviaH 1041 – Fd. Medlem
Postad: 28 maj 2022 16:38 Redigerad: 28 maj 2022 16:39

-π4+2π=-π+2π4+2π=π2π+4=1π+4=1π

 

 

Ursäkta, men jag vet inte ..

Smaragdalena 78892 – Avstängd
Postad: 28 maj 2022 17:19

Hur mycket är -14+2-\frac{1}{4}+2?

Yngve 42550
Postad: 28 maj 2022 17:49
OliviaH skrev:

-π4+2π=-π+2π4+2π=π2π+4=1π+4=1π

 

 

Ursäkta, men jag vet inte ..

Det här är enklare än du tror.

Talet pi är en gemensam faktor för de båda termerna, så du kan bryta ut det talet och då få -π4+2π=π·(-14+2)-\frac{\pi}{4}+2\pi=\pi\cdot (-\frac{1}{4}+2).

Nu behöver du bara förenkla -14+2-\frac{1}{4}+2 och sedan multiplicera pi med det resultatet.

Om du helt har glömt bort detta så kan vi påminna om addition och subtration av bråk.

OliviaH 1041 – Fd. Medlem
Postad: 28 maj 2022 19:40

-14+2=74 ?

Yngve 42550
Postad: 28 maj 2022 21:05 Redigerad: 28 maj 2022 21:05

Ja, och därför är -π4+2π=7π4-\frac{\pi}{4}+2\pi=\frac{7\pi}{4}.

Kommer du vidare då?

OliviaH 1041 – Fd. Medlem
Postad: 28 maj 2022 21:08

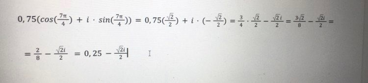
ja, då förstår jag. 0,75(cos(7π4)+i·sin(7π4)har jag då. Kan jag svara så? Ska svara i a+bi. Min nästa fråga blir ju då hur jag vet vad 7pi/4 har för värde...

Yngve 42550
Postad: 28 maj 2022 21:10

Läs frågan igen. Vad står det där om hur du ska svara?

OliviaH 1041 – Fd. Medlem
Postad: 28 maj 2022 21:13

på a) kan jag svara som ovan antar jag, men på b ska jag svara a+bi, då vet jag inte hur jag ska göra

Yngve 42550
Postad: 28 maj 2022 21:49 Redigerad: 28 maj 2022 21:50

Att på a-frågan svara att uzw2\frac{uz}{w^2} är lika med 0,75(cos(7π4)+i·sin(7π4))0,75(\cos(\frac{7\pi}{4})+i\cdot\sin(\frac{7\pi}{4})) är rätt.

Men vad menar du med "på b"? Hur lyder den frågan?

OliviaH 1041 – Fd. Medlem
Postad: 28 maj 2022 21:51

kanske inte skrivit den här, men b) uppgiften är "ge också svaret exakt på formen  a+bi".

Yngve 42550
Postad: 28 maj 2022 23:42

OK, då behöver du bestämma det exakta värdet av cos(7π4)\cos(\frac{7\pi}{4}) och sin(7π4)\sin(\frac{7\pi}{4}).

OliviaH 1041 – Fd. Medlem
Postad: 29 maj 2022 10:42 Redigerad: 29 maj 2022 10:46

om jag tittar i en enhetscirkel så ser man att sin 7π4har ett värde på -22 och cos 7π4 har ett värde på 22

 

Yngve 42550
Postad: 29 maj 2022 10:48

Ja det stämmer. Då kan du besvara b-uppgiften.

OliviaH 1041 – Fd. Medlem
Postad: 29 maj 2022 10:50

får 0,75-0,75i?

Yngve 42550
Postad: 29 maj 2022 11:39

Nej det stämmer inte. Multiplicera in 0,75 (dvs 3/4) i parentesen och skriv om på så enkel form som möjligt.

OliviaH 1041 – Fd. Medlem
Postad: 31 maj 2022 10:00

såhär?

Yngve 42550
Postad: 31 maj 2022 10:47

Nej det stämmer inte heller.

Repetera det här avsnittet om hur man multiplicerar ett tal med ett uttryck inom parenteser, dvs den distributiva lagen.

Du måste alltså multiplicera båda termerna inom parenteserna med 0,75.

Och det stämmer inte heller att 328\frac{3\sqrt{2}}{8} är lika med 28\frac{2}{8}. Hur resonerade du där?

OliviaH 1041 – Fd. Medlem
Postad: 31 maj 2022 11:13

menar du cos och sinparentesen? Resonerade fel, resonerade att det var roten ur 2 ^ med 3

Yngve 42550
Postad: 31 maj 2022 11:32 Redigerad: 31 maj 2022 11:33

Ja, men (2)3(\sqrt{2})^3 är ju inte lika med 22 utan istället 2·2·2\sqrt{2}\cdot\sqrt{2}\cdot\sqrt{2}, vilket är lika med 222\sqrt{2}.

OliviaH 1041 – Fd. Medlem
Postad: 31 maj 2022 22:33

ja, fel av mig

Yngve 42550
Postad: 31 maj 2022 23:28

OK, men får du till multplikationen med 0,75 nu?

OliviaH 1041 – Fd. Medlem
Postad: 31 maj 2022 23:54

blir det 0,75 multiplicerat med 22 och sedan substraherat med samma tal förutom att i är multiplicerat med också?

Yngve 42550
Postad: 1 jun 2022 00:00

Menar du 328-i·328\frac{3\sqrt{2}}{8}-i\cdot\frac{3\sqrt{2}}{8}?

OliviaH 1041 – Fd. Medlem
Postad: 1 jun 2022 00:04

ja 

Yngve 42550
Postad: 1 jun 2022 00:17

Då är det rätt.

OliviaH 1041 – Fd. Medlem
Postad: 1 jun 2022 19:12

är det slutsvaret?

Yngve 42550
Postad: 1 jun 2022 19:33

Ja, det är svaret på fråga b.

Svara
Close