Några tips kring handstil för ökad läsbarhet?
Inte för att jag fått några klagomål, men man blir lite less på hur det ser ut.
Har ni något sätt att skriva någon speciell notation på som ni tycker ser bra ut?
Du får la köra lite ren skrivträning. Hitta ett typsnitt som ser trevligt ut. Kopiera dess a 1000 gånger, b 1000 gånger osv.
Att kolla upp det korrekta sättet att skriva bokstäver borde kunna göra en stor skillnad också.
Om du inte redan gjort det, träna bort skrivstilen. Förstår inte varför det var så viktigt att lära sig, särskilt bland äldre generationer. Ja, det går fortare att skriva, men det förstör verkligen läsbarheten. Genom att skriva varje bokstav för sig blir det mycket lättare att läsa, utan att behöva skriva särskilt fint i sig. :)
Tillägg: 29 apr 2024 20:18
Tips för bokstäverna: Utöver ren mängdträning som Mrpotatohead nämnt, träna på att skriva hyfsat fort. Det är lätt att skriva fint om det går att lägga fem sekunder på varje bokstav, men den tiden saknas ofta. Att försöka skriva bokstäver som är hyfsat avskalade (inga seriffer eller annat tjafs). Arial är rätt ett bra typsnitt att ta inspiration ifrån – lättläst och tydligt, även om det finns några seriffer här och var.
Dessa tekniker är så klart också applicerbara för matematik, men vill tillägga att det i hudsak gäller hur man skriver ekvationer, integraler samt annan notation och så vidare. Alltså inte ord, trots att jag behöver öva där också :)
För att slå två flugor i en smäll kan du ju försöka överdriva tydligheten i dina matematiska uträkningar. Då blir du bättre på matte samtidigt som du får bättre skrivstil:)
Mrpotatohead skrev:För att slå två flugor i en smäll kan du ju försöka överdriva tydligheten i dina matematiska uträkningar. Då blir du bättre på matte samtidigt som du får bättre skrivstil:)
Ja men hur gör man detta? Ska integral tecknet var 2 eller 3 rutor; hur långt mellan raderna vid ekvationer; vänster eller centrerat; hälldre marginal på sidor eller inte; hur skriver man bråk roten ur och så vidare på snyggt sätt. Även formatering är ju viktig hur ser man till att saker och ting får plats hamnar under varandra med mer. Något konkret som ni brukar anmärka på?
Det är ett intressant ämne.
Om du inte själv kan läsa vad du skriver eller att du räknar fel p.g.a. av egen otydlighet är det ett problem i sig. Det är bara att sänka takten och vara "prydlig" och öva lite.
Om det är frågan om att göra prydliga rapporter eller inlämningsuppgifter så rekommenderar jag istället att du lär dig LaTeX. Det kommer du ha långt mera nytta av i livet än att kaligrafera fram någon prydlig matematisk skrift. LaTeX sköter allt detta åt dig.
Ett exempel på hur det kan se ut i LaTeX:

Rätt svårt att slå för hand...
Trinity2 skrev:Det är ett intressant ämne.
Om du inte själv kan läsa vad du skriver eller att du räknar fel p.g.a. av egen otydlighet är det ett problem i sig. Det är bara att sänka takten och vara "prydlig" och öva lite.
Om det är frågan om att göra prydliga rapporter eller inlämningsuppgifter så rekommenderar jag istället att du lär dig LaTeX. Det kommer du ha långt mera nytta av i livet än att kaligrafera fram någon prydlig matematisk skrift. LaTeX sköter allt detta åt dig.
Jag har inte haft något större problem än förutom att jag kanske behövt skriva om för att få plats. Självklart har du rätt om man ska tänka helt pragmatiskt men jag tycker fortfarande det finns värde i att skriva snyggt. Det förbättrar ju matematisk kommunikation. Ska man till exempel visa en klasskamrat snabbt så går det ju snabbare att förstå. Det är en intressant fråga eftersom man klart lär sig av lärare och så vidare, men sällan utrycks det explicit. Är på gång med latex :) men ärligt (kanske lite gammalmodigt) tycker jag mer om att göra matte på papper.
naytte skrev:Ett exempel på hur det kan se ut i LaTeX:
Rätt svårt att slå för hand...
Du har rätt. Trots det så sitter vi ju fortfarande och räknar matte förhand långt efter vi börjat skriva svenska, engelska och andra texter på datorn i skolan (kan inte minnas att någon använde latex i mellanstadiet). Kanske ändras det snart vem vet. Men även här så går det ju att formatera på olika sätt till exempel så ser matten ut att vara centrerad, men jag vet ju att man kan sätta så att likamedtäcken är under varandra.
Man kan skriva i LaTeX här på PA också. Då blir det snyggare. Istället för att det ser ut så här ser det ut så här:
Visa några exempel så kan vi kommentera vad som ser värst ut.
noel eklöf skrev:Trinity2 skrev:Det är ett intressant ämne.
Om du inte själv kan läsa vad du skriver eller att du räknar fel p.g.a. av egen otydlighet är det ett problem i sig. Det är bara att sänka takten och vara "prydlig" och öva lite.
Om det är frågan om att göra prydliga rapporter eller inlämningsuppgifter så rekommenderar jag istället att du lär dig LaTeX. Det kommer du ha långt mera nytta av i livet än att kaligrafera fram någon prydlig matematisk skrift. LaTeX sköter allt detta åt dig.
Jag har inte haft något större problem än förutom att jag kanske behövt skriva om för att få plats. Självklart har du rätt om man ska tänka helt pragmatiskt men jag tycker fortfarande det finns värde i att skriva snyggt. Det förbättrar ju matematisk kommunikation. Ska man till exempel visa en klasskamrat snabbt så går det ju snabbare att förstå. Det är en intressant fråga eftersom man klart lär sig av lärare och så vidare, men sällan utrycks det explicit. Är på gång med latex :) men ärligt (kanske lite gammalmodigt) tycker jag mer om att göra matte på papper.
Om du tenderar att 'driva iväg' åt höger och "få slut på pappret" är det indikation på en progressiv personlighet. som "vill mycket" och är drivande Alltså ej negativt. Studera gärna det trevliga ämnet grafologi.
Handräkning är överlägset när det gäller att skissa fram en lösning. Det kräver också en viss erfarenhet hur stor plats ett uttryck kommer att ta. Skolan har ofta ett vertikalt arbetssätt, t.ex. skriver man om samma ekvation 50-11 gånger, till ingen nytta, när det kan göras på en rad. Därmed får man ej heller någon erfarenhet av att arbeta i "horisontellt led" och hur mycket plats det tar.
När det kommer till matematisk typografi är det mycket komplext. Frågan huruvida ekvationer skall vara centrerade eller ej har nog inget entydigt svar. Klassiskt har de alltid varit centrerade men personligen gillar jag ej det. Det ser vackert ut i en bok, men det är svårt, IMO, att få en "linje" i resonemanget när raderna börjar på olika platser. Men, det är en smaksak. Centrerade rader är oerhört svårt att få till manuellt. Det kräver att man vet exakt hur långt ett uttryck är, även efter 12 likhetstecken...
Ang. LaTeX borde det vara lag på att alla skall lära sig det :) Även de som "bara" läser svenska och engelska. :) Det finns ingen nackdel alls med att lära sig LaTex. Det är dessutom helt gratis.
Visa spoiler
Visa spoiler



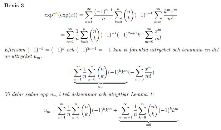
Några axplock.
naytte skrev:Man kan skriva i LaTeX här på PA också. Då blir det snyggare. Istället för att det ser ut så här ser det ut så här:
PA-sidorna blir i in Chrome-läsare något konstiga;

Så skall det inte se ut, utan

(jag tog den aktuella koden).
PA borde lägga ner resurser på att implementera detta bättre. Kanske det ser bättre ut i andra läsare.
Dubbel-dollar är dessutom det gamla skrivsättet i LaTeX. Det används ej idag, även om det är ett grundläggande kommando i TeX.
PS. när vi ändå diskuterar matematisk typografi, så är det rekommenderat att skriva
\int\!f\,\mathrm{d}x
för en snyggare typografi.
Trinity2 skrev:naytte skrev:Man kan skriva i LaTeX här på PA också. Då blir det snyggare. Istället för att det ser ut så här ser det ut så här:
PA-sidorna blir i in Chrome-läsare något konstiga;
Så skall det inte se ut, utan
(jag tog den aktuella koden).
PA borde lägga ner resurser på att implementera detta bättre. Kanske det ser bättre ut i andra läsare.
Dubbel-dollar är dessutom det gamla skrivsättet i LaTeX. Det används ej idag, även om det är ett grundläggande kommando i TeX.
Vad används istället för dubbla dollar täcken?
noel eklöf skrev:Trinity2 skrev:naytte skrev:Man kan skriva i LaTeX här på PA också. Då blir det snyggare. Istället för att det ser ut så här ser det ut så här:
PA-sidorna blir i in Chrome-läsare något konstiga;
Så skall det inte se ut, utan
(jag tog den aktuella koden).
PA borde lägga ner resurser på att implementera detta bättre. Kanske det ser bättre ut i andra läsare.
Dubbel-dollar är dessutom det gamla skrivsättet i LaTeX. Det används ej idag, även om det är ett grundläggande kommando i TeX.
Vad används istället för dubbla dollar täcken?
\[.....\]
eller
\begin{equation}....
\begin{equation*}....
beroende på om man vill ha numrering m.m.
Trinity2 skrev:noel eklöf skrev:Trinity2 skrev:naytte skrev:Man kan skriva i LaTeX här på PA också. Då blir det snyggare. Istället för att det ser ut så här ser det ut så här:
PA-sidorna blir i in Chrome-läsare något konstiga;
Så skall det inte se ut, utan
(jag tog den aktuella koden).
PA borde lägga ner resurser på att implementera detta bättre. Kanske det ser bättre ut i andra läsare.
Dubbel-dollar är dessutom det gamla skrivsättet i LaTeX. Det används ej idag, även om det är ett grundläggande kommando i TeX.
Vad används istället för dubbla dollar täcken?
\[.....\]
Känns enklare att skriva ett tecken än två olika.
noel eklöf skrev:Trinity2 skrev:noel eklöf skrev:Trinity2 skrev:naytte skrev:Man kan skriva i LaTeX här på PA också. Då blir det snyggare. Istället för att det ser ut så här ser det ut så här:
PA-sidorna blir i in Chrome-läsare något konstiga;
Så skall det inte se ut, utan
(jag tog den aktuella koden).
PA borde lägga ner resurser på att implementera detta bättre. Kanske det ser bättre ut i andra läsare.
Dubbel-dollar är dessutom det gamla skrivsättet i LaTeX. Det används ej idag, även om det är ett grundläggande kommando i TeX.
Vad används istället för dubbla dollar täcken?
\[.....\]
Känns enklare att skriva ett tecken än två.
(La)TeX är väldigt strukturerat, med en 'början' och ett 'slut' på "enviroments". Man ville nog undvika koder som inte har denna distinktion, liksom man gör i HTML, XML etc. Det är enklare att parsa för editorer m.m.
noel eklöf skrev:
Några axplock.
Så hemskt är det inte. Fullt läsbart, tycker jag, och i stort sett längs linjerna. x ser dock ofta ut som .
Laguna skrev:noel eklöf skrev:Några axplock.Så hemskt är det inte. Fullt läsbart, tycker jag, och i stort sett längs linjerna. x ser dock ofta ut som .
Tack, jag ska vara nogrannare med mina x. Det ser dock värre ut då jag gör fysik eller liknande då siffror skrivs mer, har inte mitt block med mig dock.
Trinity2 skrev:noel eklöf skrev:Trinity2 skrev:noel eklöf skrev:Trinity2 skrev:naytte skrev:Man kan skriva i LaTeX här på PA också. Då blir det snyggare. Istället för att det ser ut så här ser det ut så här:
PA-sidorna blir i in Chrome-läsare något konstiga;
Så skall det inte se ut, utan
(jag tog den aktuella koden).
PA borde lägga ner resurser på att implementera detta bättre. Kanske det ser bättre ut i andra läsare.
Dubbel-dollar är dessutom det gamla skrivsättet i LaTeX. Det används ej idag, även om det är ett grundläggande kommando i TeX.
Vad används istället för dubbla dollar täcken?
\[.....\]
Känns enklare att skriva ett tecken än två.
(La)TeX är väldigt strukturerat, med en 'början' och ett 'slut' på "enviroments". Man ville nog undvika koder som inte har denna distinktion, liksom man gör i HTML, XML etc. Det är enklare att parsa för editorer m.m.
XML kräver ett väldefinierat slut. HTML skapades av lata människor. Knuth var inte lat. Själva grundmodellen för XML och HTML är en ryslig konstruktion från 60- eller 70-talet, som hade sprungits om och blivit föråldrad, men som av någon anledning kom till användning för HTML och XML. Man försökte göra en striktare HTML, som hette XHTML, men den verkar ha dött ut.
Det är en mycket bra idé i programmeringssammanhang att ha väldefinierade början och slut på konstruktioner.
Laguna skrev:Trinity2 skrev:noel eklöf skrev:Trinity2 skrev:noel eklöf skrev:Trinity2 skrev:naytte skrev:Man kan skriva i LaTeX här på PA också. Då blir det snyggare. Istället för att det ser ut så här ser det ut så här:
PA-sidorna blir i in Chrome-läsare något konstiga;
Så skall det inte se ut, utan
(jag tog den aktuella koden).
PA borde lägga ner resurser på att implementera detta bättre. Kanske det ser bättre ut i andra läsare.
Dubbel-dollar är dessutom det gamla skrivsättet i LaTeX. Det används ej idag, även om det är ett grundläggande kommando i TeX.
Vad används istället för dubbla dollar täcken?
\[.....\]
Känns enklare att skriva ett tecken än två.
(La)TeX är väldigt strukturerat, med en 'början' och ett 'slut' på "enviroments". Man ville nog undvika koder som inte har denna distinktion, liksom man gör i HTML, XML etc. Det är enklare att parsa för editorer m.m.
XML kräver ett väldefinierat slut. HTML skapades av lata människor. Knuth var inte lat. Själva grundmodellen för XML och HTML är en ryslig konstruktion från 60- eller 70-talet, som hade sprungits om och blivit föråldrad, men som av någon anledning kom till användning för HTML och XML. Man försökte göra en striktare HTML, som hette XHTML, men den verkar ha dött ut.
Det är en mycket bra idé i programmeringssammanhang att ha väldefinierade början och slut på konstruktioner.
Ja, sammtidigt är det en balnsgång, det får ju inte vara för tradigt att skriva. Tyvärr så är vår svenska tangentbordlayout inte den bästa när det kommer sådana saker. Autokorrekt till vår räddning antar jag. HTML är inte rolligt att skriva utan någon slags asistans från datorn det kan jag säga!
PA-sidorna blir i in Chrome-läsare något konstiga;
Skumt! För mig ser det inte ut så!
noel eklöf skrev:Visa spoiler
Visa spoiler
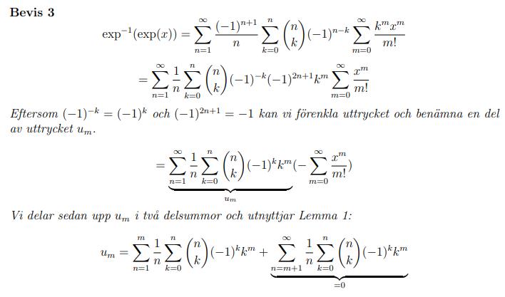
Några axplock.
Tycker inte heller det ser illa ut. Texten är väl lite kladdig men tal och symboler ser bra ut. Så fokus på text tycker jag! :)
Mrpotatohead skrev:noel eklöf skrev:Visa spoiler
Visa spoiler
Några axplock.
Tycker inte heller det ser illa ut. Texten är väl lite kladdig men tal och symboler ser bra ut. Så fokus på text tycker jag! :)
Okej. Då vet jag vad jag ska göra på sommarlovet… ;)
noel eklöf skrev:Mrpotatohead skrev:noel eklöf skrev:Visa spoiler
Visa spoiler
Några axplock.
Tycker inte heller det ser illa ut. Texten är väl lite kladdig men tal och symboler ser bra ut. Så fokus på text tycker jag! :)
Okej. Då vet jag vad jag ska göra på sommarlovet… ;)
Vi ser inslag om dig i Veckans Brott till hösten!

(från filmen Seven....) :)
noel eklöf skrev:Mrpotatohead skrev:noel eklöf skrev:Visa spoiler
Visa spoiler
Några axplock.
Tycker inte heller det ser illa ut. Texten är väl lite kladdig men tal och symboler ser bra ut. Så fokus på text tycker jag! :)
Okej. Då vet jag vad jag ska göra på sommarlovet… ;)
Om du vill bli läkare behöver du ju faktiskt bli sämre för att passa normen:













