14 svar
138 visningar
sweet_s_sugar behöver inte mer hjälp
sweet_s_sugar 18
Postad: 14 maj 2023 12:46 Redigerad: 14 maj 2023 12:51

När har funktionen extrempunkter

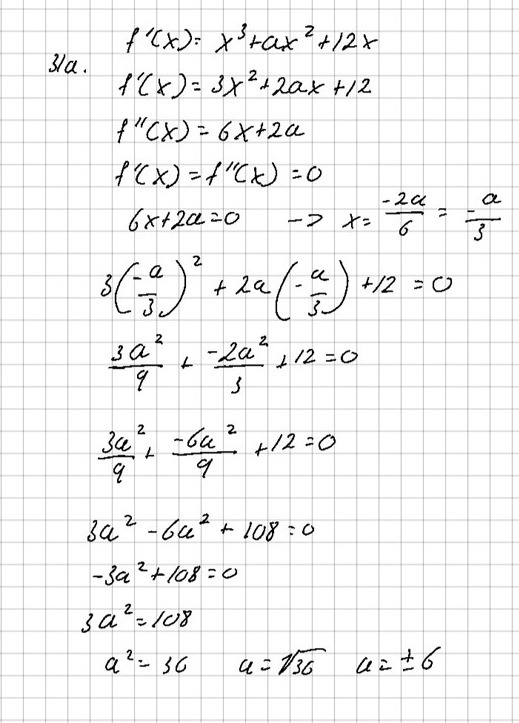
Hej! Jag har problem med att lösa denna uppgift.

Jag har löst a, men vet inte hur jag ska lösa b och c. Här är min lösning:

Jag vet att för två nollställen måste f'(x)=0 och ha två rötter, men vet inte hur jag ska räkna ut.

naytte Online 7489 – Moderator
Postad: 14 maj 2023 13:59

Det är en bra början. Men nu måste du dessutom undersöka om dessa värden på a verkligen ger terasspunkter eller inte. Bara för att f'=f''=0 måste det inte vara en terasspunkt. Det kan vara en minimipunkt också som hos y=x4. Där blir y'(0)=y''(0)=0, trots att det inte är en terasspunkt. 


För b-uppgiften:

Det stämmer att evkationen f'(x)=0 ska ha två lösningar. Eftersom f'(x) är en andragradskurva kanske du kan dra nytta av pq-formeln eller abc-formeln? Fanns det inte något krav med diskriminanten för att det skulle finnas två lösningar...? ;)

sweet_s_sugar 18
Postad: 14 maj 2023 14:23 Redigerad: 14 maj 2023 14:23

Jag la in a=+-6 i f'(x)=0 och löste att terrasspunkterna kan finnas vid x=2 och x=-2, jag testade sedan lutningen ett tal mindre och ett tal mer och de hade positiv luting på båda sidorna. 

 

jag är inte säker på hur jag ska lösa b eller c, man måste dessutom lösa uppgiften utan digitala verktyg, så jag kan inte ens rita en graf :(

naytte Online 7489 – Moderator
Postad: 14 maj 2023 14:27

En graf behöver du inte!

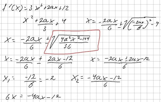
Börja med att derivera funktionen så får du f'(x)=3x2+2ax+12.

Kommer du ihåg hur pq-formeln ur ma2 ser ut?

sweet_s_sugar 18
Postad: 14 maj 2023 14:37

jag försökte, men kunde inte lista ut hur man löser a utifrån det.

jag fick fram att x1=-2, x2=-4ax-126

naytte Online 7489 – Moderator
Postad: 14 maj 2023 14:41

Hur ser diskriminanten för pq-formeln ut? 

sweet_s_sugar 18
Postad: 14 maj 2023 14:46

detta är vad jag fick det till

naytte Online 7489 – Moderator
Postad: 14 maj 2023 15:04 Redigerad: 14 maj 2023 15:06

Din förenkling stämmer inte men diskriminanten verkar vara rätt uppställd! 

Vad måste gälla för diskriminanten för att det ska finnas två reella lösningar? 

Hur många finns det om diskriminanten är mindre än 0, och hur många finns det när den är 0?

sweet_s_sugar 18
Postad: 14 maj 2023 15:20

diskriminaten måste inte bli 0. Jag försökte lösa 2ax-126=0 och sedan skulle svaret då vara < eller > än det jag fick fram, jag satte då x värderna x=-2 och x=2 eftersom det är då lutningen blir 0, men jag fick då fram att a>3 ller a<-6, som inte stämmer med facit

naytte Online 7489 – Moderator
Postad: 14 maj 2023 15:30

Diskriminanten måste vara >0. Då finns det två reella lösningar. För vilka a blir diskriminanten större än 0?

sweet_s_sugar 18
Postad: 14 maj 2023 15:35

jag får det fortfarande till 3?

naytte Online 7489 – Moderator
Postad: 14 maj 2023 16:09

Oj, jag var lite ouppmärksam. Du ska inte sätta in 2ax i diskriminanten, bara 2a.

sweet_s_sugar 18
Postad: 14 maj 2023 16:19

då blir svaret rätt, men vart försvinner x:et då?

naytte Online 7489 – Moderator
Postad: 14 maj 2023 16:44

pq-form är ju x2+px+q. p i det här fallet blir ju 2a, det vill säga det du ska stoppa in i pq-formeln.

sweet_s_sugar 18
Postad: 14 maj 2023 17:00

Ah just det...

Missade att ta bort x:et i min lösning.

Då får jag rätt svar, tack så mycket :)

Svara
Close