när man kastar en sten rakt ut vilka krafter används? kaströrelse?
Krafter som är inblandade i att kasta en sten i luften är Acceleration på grund av gravitation (Gravitationskraft) Luftmotstånd om specificerat och det skulle finnas en extra dragkraft som verkar på föremålet.
Formel som ska användas är kinematisk ekvation för fritt fallande kroppar eftersom att kasta en sten anses vara en fritt fallande kropp. stämmer det?
Cosmos skrev:det skulle finnas en extra dragkraft som verkar på föremålet.
Vad för extra dragkraft?
Formel som ska användas är kinematisk ekvation för fritt fallande kroppar eftersom att kasta en sten anses vara en fritt fallande kropp. stämmer det?
Nja, du kan approximera det som en fritt fallande kropp med en minskad noggrannhet men det "anses" inte vara det. En fritt fallande kropp är en som endast utsätts för gravitationskraften.
Ok formel ska användas då? =/ m*(a-g), de är ju samma som detta!
Tyvärr obegripligt vad du skriver, det låter som google translate.
Vad är din fråga?
Ebola skrev:Tyvärr obegripligt vad du skriver, det låter som google translate.
Vad är din fråga?
va?? jag undrar vad för krafter som används när kastar en sten rakt ut..... vad är oklart? jag har inte vikten på sten och sedermera inte nyttja det så vad nyttjas ? .jpg?width=800&upscale=false)
Om du kastar en sten med hastigheten v0 så är det enklast att förklara om vi delar upp hastigheten i två delhastigheter, en i x-led (v0x) och en i y-led (v0y).
I x-led har stenen en initial hastighet v0x som ingen kraft påverkar. Den horisontala hastigheten är konstant.
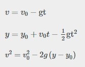
I y-led har stenen en initial hastighet v0y. Den påverkas av tyngdaccelerationen, dvs hastigheten kommer att öka i riktning mot marken. Om v0y är riktad uppåt kommer tyngdkraften att först sakta in stenen och sen börjar den röra sig mot marken. Höjden beskrivs med formeln du angett (med v0 utbytt mot v0y):
y=y0+v0y*t-1/2*g*t^2
y0 är höjden stenen kastas från. Positiv riktning (och hastighet) är uppåt i denna formel.
De övriga formlerna gäller också i y-led.
Efter att du kastat ut stenen är det bara tyngdkraften som påverkar stenen (om vi bortser från luftmotståndet).
Den här simuleringen kanske kan hjälpa om du vill testa olika fall:
https://phet.colorado.edu/sims/html/projectile-motion/latest/projectile-motion_en.html
Programmeraren skrev:Om du kastar en sten med hastigheten v0 så är det enklast att förklara om vi delar upp hastigheten i två delhastigheter, en i x-led (v0x) och en i y-led (v0y).
I x-led har stenen en initial hastighet v0x som ingen kraft påverkar. Den horisontala hastigheten är konstant.
I y-led har stenen en initial hastighet v0y. Den påverkas av tyngdaccelerationen, dvs hastigheten kommer att öka i riktning mot marken. Om v0y är riktad uppåt kommer tyngdkraften att först sakta in stenen och sen börjar den röra sig mot marken. Höjden beskrivs med formeln du angett (med v0 utbytt mot v0y):
y=y0+v0y*t-1/2*g*t^2
y0 är höjden stenen kastas från. Positiv riktning (och hastighet) är uppåt i denna formel.
De övriga formlerna gäller också i y-led.Efter att du kastat ut stenen är det bara tyngdkraften som påverkar stenen (om vi bortser från luftmotståndet).
Den här simuleringen kanske kan hjälpa om du vill testa olika fall:
https://phet.colorado.edu/sims/html/projectile-motion/latest/projectile-motion_en.html
Tack snälla=)
Ebola skrev:Tyvärr obegripligt vad du skriver, det låter som google translate.
Vad är din fråga?
Ebola, Vi i moderatorgruppen tycker inte att det hör till god ton på forumet att uttrycka sig på detta sättet. Att skriva "Jag förstår inte vad du skriver, kan du förtydliga?", hade räckt utmärkt. Tänk på hur ni formulerar er på forumet och hur det kan uppfattas av andra. /Jonto, moderator