5
svar
406
visningar
Nationella prov snart! Jag fattar inte alls!
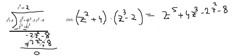
För polynomet p gäller att p(Z) = z5 + 4z3 - 2z2 - 8
Visa att (z2 + 4) är en faktor i polynomet p.
Känner du till polynomdivision?
@naturnatur1 nej jag har ingen aning vad det är!
Kika på den här länken:
Om z2 + 4 är en faktor i polynomet p har polynomet p (bl.a.) rötterna ±2i.
p(±2i)=...=0.
