Nodanalys av en halv-vågs spännings dubblare
Hej jag har en uppgift som innebär att jag ska med hjälp av nodanalys i de två noderna V1 och V2 forma ett system av två första ordningens differential ekvationer. Jag räknar inte med dioderna har 0 i spänningsfall. Nedan syns en bild på krets schemat:
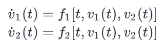
Jag har ett uttryck men är osäker på om jag tänkt rätt, dels för att i uppgiften står det att man ska få detta system:
Men jag får två stycken V2 derivator...?
Detta är hur jag gjort:
Jag delar in kretsen i två fall, antingen är D1 på och D2 är av (fall 1) eller tvärt om (fall 2):
- Fall 1
Nu gör jag alltså att kretsen är en öppen krets vid D2.
Enligt kirchoffs första lag är summan av strömmarna i en nod alltid 0.
Nu kollar vi på noden V1
Alltså är iC1+iD1=iD2, men eftersom D2 är av är iD2=0, alltså är iC1=-iD1
Vi har att iC1=C1*(d(VS-V1)/dt). Men V1=VD1, alltså, iC1=C1*(d(VS-VD1)/dt). Men VD1 är ett konstant tal ex 0,7 för en silikon diod, och derivatan av en konstant är 0. Alltså iC1=C1*(d(VS)/dt). Så i slutändan får vi C1*(d(VS)/dt)=-iD1
Nu kollar vi på noden V2
Vi har iC2+iR=iD2, åter igen är iD2=0 eftersom den är av.
Vi har att iC2=C2*(d(V2)/dt) och att iR=V2/R. Alltså C2*(d(V2)/dt)+V2/R=0
Nu samlar jag det vi kommit fram till: C1*(d(VS)/dt)=-iD1, V1=VD1 och C2*(d(V2)/dt)+V2/R=0
2. Fall 2
Nu gör jag alltså kretsen till en öppen krets vid D1
Nu kollar vi på noden V1
Vi har att iC1+iD1=iD2 igen men nu är iD1=0 istället eftersom den är av.
Alltså får vi att iC1=C1*(d(VS-V1)/dt)=iD2
Nu kollar vi på noden V2
Vi har iC2+iR=iD2, vi får alltså att iD2=C2*(d(V2)/dt)+V2/R
Vi har alltså två uttryck för iD2: C2*(d(V2)/dt)+V2/R=C1*(d(VS-V1)/dt)
Från dioden har vi att VD2=V1+V2. Alltså är V1=VD2-V2.
Detta gör att d(V1)/dt=d(VD2+V2)/dt där VD2 är konstant igen och försvinner
Alltså får vi att d(V1)/dt=d(V2)/dt
Om vi stoppar in detta i ekvationen C2*(d(V2)/dt)+V2/R=C1*(d(VS-V1)/dt) får vi att
C1(d(Vs)/dt-d(V2)/dt)=C2*d(V2)/dt+V2/R
Samlar det jag kommit fram till: iC1=C1*(d(VS-V1)/dt)=iD2,
C1(d(Vs)/dt-d(V2)/dt)=C2*d(V2)/dt+V2/R och V1=VD2-V2
3. Om jag nu samlar allt intressant och bryter ut det intressanta får jag att för
Diod 1 på och Diod 2 av: dV2/dt=-V2/(C2*R) och V1=VD1
Diod 1 av och Diod 2 på: dV2/dt=(1/(C1+C2))*(C1*(d(VS)/dt)-V2/R) och V1=VD2+V2.
Jag får ju nu två uttryck för derivatan av V2 och inget för V1.
Går detta bra eller vad gör jag fel, kan jag inte säga att strömmen är 0? Hur gör jag då i så fall? Jag ska lösa systemet med Runge Kutta metoden för att få det transienta svaret.