Om du markerar punkterna i ett diagram så kan du se t.ex. det här:
1 Man kan ana att det är en andragradsfunktion med "glad mun" dvs, är positiv.
2 Den skär Y-axeln i plus 4
3 Då kan vi se följande f(x) = tecknet framför är osäkert, men de andra två bör vara plus.
Det är väl inte svaret på din fråga, men ett litet tips hur man kan få en bild att börja med.
Jag förstår!
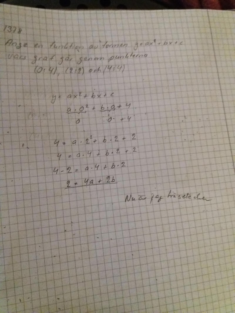
Du har och punkterna (0;4), (2;2) och (4;4)
Nu skall du försöka lista ut vad a,b och c är.
Börja med att sätta in punkten (0;4)
4=0+0+c
c=4 (bra början)
Nu kan du sätta in de 2 andra punkterna, det ger dig 2 ekvationer:
2=a2^2+2b+4 och
4=a4^2+4b+4 vilket renskrivs till:
Multiplicera första ekvationen med 2:
Ta ekv 2 minus ekv 1 och du får:
8a-4=0 vilket ger a=1/2
Kommer du vidare?
Hej Päivi.
Du kan lösa detta på flera olika sätt. Här är förslag på två olika sätt:
- Alla tre punkterna ska uppfylla sambandet . Det ger dig ett ekvationssystem med tre ekvationer och tre obekanta a, b och c. Lös det ekvationssystemet så har du hittat ditt svar.
- Markera de tre punkterna i ett koordinatsystem och utnyttja dina kunskaper om andragradsfunktioners egenskaper. Du hittar snabbt symmetrilinjen och därmed funktionens vertex. Du hittar snabbt var grafen skär y-axeln. Med hjälp av denna information kan du klura ut vad dina obekanta a, b och c ska vara.
Det verkar igen strula för mig. Jag förstår att det ska bli ekvationssystem av detta. Det roliga är att i den här boken har man inte ens gått genom ekvationssystem. Matte 1 har man inte alls haft ekvationssystem. Enligt den här boken kommer ekvationssystem först nästa kapitel.
Ok jag har ändå gått genom ekvationssystem en gång i livet. Inga problem på det viset. Det gäller bara få ekvationssystemet rätt, då går det lösa det. Jag återkommer mera om detta, när jag har skrivit lite mera här.
Jag återkommer efter en stund.
Joculator har givit dig ett recept som ser exakt ut som förklaringen i en lärobok jag har. Så läs hans exempel rad för rad så har du en bra grund för förståelsen hur man bör gå tillväga.
Yngves och min kommentar är väl mera hjälp för att komma igång, men också för att snabbt kunna kontrollera sitt svar.
1. Rita! Då ser du att du har två punkter som ligger på samma höjd (samma y-värde) och en punkt vars x-värde ligger mitt emellan dessa - alltså på... vad då?
2. När du vet symmetrilinjen och koordinaterna för minimivärdet, kan du skriva ekvationen på formen $$f(x) =a (x-x_1)^2 + kx_1k$$. Multiplicera ihop parenteserna för att få den form man vill ha.
På det här sättet behöver man inte lösa något ekvationssystem.
EDIT: Tack Joculator.
Snyggt Smaragdalena!
Men med dina höga ambitioner Päivi bör du testa och förstå bägge metoderna.
Det kommer jag att göra :-)
Jag kunde inte skriva i tråden och allt som jag skrev försvann av mig och därför skrev jag att det nu igen strulade för mig. Jag har gått genom ekvationssystem för länge sedan. Har gått genom detta i matte B och C. C matte har man det med tre obekanta. För mig är detta inte nytt alls. Däremot ta detta från grafen är mera nytt.
Det första du skriver, efter punkterna och ekvationen, är att noll är lika med noll plus noll plus fyra. Inser du att det är fel?
Sedan fortsätter du att räkna som om du visste att c var lika med 2. Du har inte alls visat vilket värde c har. (Det är inte 2).
Smaragdalena skrev :1. Rita! Då ser du att du har två punkter som ligger på samma höjd (samma y-värde) och en punkt vars x-värde ligger mitt emellan dessa - alltså på... vad då?
2. När du vet symmetrilinjen och koordinaterna för minimivärdet, kan du skriva ekvationen på formen eftersom du vet och . Multiplicera ihop parenteserna för att få den form man vill ha.
På det här sättet behöver man inte lösa något ekvationssystem.
Formen är väl
Ja vad bra. Jag blev orolig att du tog illa vid dig. Att jag skrev som jag skrev berodde på att jag blev så entusiastisk över alla svar och att pluggakuten är en sådan inspirationskälla till fördjupning.
Rättning på allting. Jag har märkt att jag har gjort fel. Fick leta hjälpen från min sambos beskrivning om liknande sak. 

Hej Päivi.
Här är ett lösningsförslag till metoden med ekvationssystem:
Punkterna (0: 4), (2: 2) och (4: 4) ligger alla på grafen till . Det betyder att alla dessa tre talpar (x: y) uppfyller samma samband .
- Första punkten (0: 4) ger ekvationen
- Andra punkten (2: 2) ger ekvationen
- Tredje punkten (4: 4) ger ekvationen
Första ekvationen ger att .
Om vi sätter in det i ekvation 2 och 3 och förenklar så får vi:
Dvs
Vi kan dividera första ekvationen med 2 och den andra ekvationen med 4 och vi får då:
Vi kan multiplicera den första ekvationen med -1, vilket ger oss:
Om vi nu adderar dessa två ekvationer ledvis så får vi:
, dvs , dvs .
Om vi sätter in detta i ekvation 1 så får vi:
, dvs
Vi har alltså kommit fram till att , och .
Dvs funktionen är .
Kontroll:
- ger . Det stämmer!
- ger . Det stämmer!
- ger . Det stämmer!
-------
Svar: Funktionen är .
Tack Yngve för detta!!!!
Jag letade hjälpen från min sambo, hur man ska lösa liknande uppgift. Min sambo var Komvux lärare själv. Hade alla matte kurserna inklusive fysik. Han var bra som lärare, mycket omtyckt av elever. Bra på pedagogi. Hade lätt med mig.


