OR- till NAND-grind

Vet att funktionen vi har nu kan skrivas såhär, men hur gör jag det till en NAND-grind?

Med deMorgan.
Visa spoiler
Och det sista steget är:
Macilaci skrev:Med deMorgan.
Visa spoiler
Och det sista steget är:
Jag antar att vi kan skriva men om jag ritar nätet till detta så får jag 
vilket är fel enl facit.
Vill de att du använder en NAND-grind för att göra NOT också?
Laguna skrev:Vill de att du använder en NAND-grind för att göra NOT också?
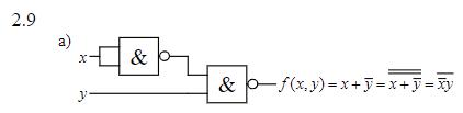
Jag vet inte riktigt hur man ska tolka uppgiften. Här är facit

Ja då så. Din NOT är rätt, men du antas bara ha två NAND-grindar.
Laguna skrev:Ja då så. Din NOT är rätt, men du antas bara ha två NAND-grindar.
Förlåt jag hänger inte med. Jag försökte lösa uppgiften efter Macilacis kommentar (#2), dvs att först få ett uttryck som en produkt med de två faktorerna x och y, för att sedan kunna rita ett nät med en NAND-grind. Uttrycket fick jag som . Nätet till motsvarande funktion blev 
Är inte detta motsvarigheten till funktionen ?
Macilaci skrev:Med deMorgan.
Visa spoiler
Och det sista steget är:
Men du kan ersätta även NOT med en NAND. Det var det jag syftade på i min spoiler.
