Övningsprov
Jag har försökt söka limus för detta uttryck:
Såhär:
Och det blir noll och fel. Finns det ett sätt att komma fram till svar med l'Hôpital regel? Jag har ett svar med Maclaurinutvecklingen som jag försöker att gå igenom expresst...
Småvinkel-approximationen:
Hmm det blir fortfarande noll om jag ersätter med x :/
dajamanté skrev:Hmm det blir fortfarande noll om jag ersätter med x :/
Åsså lite Taylor på dä?
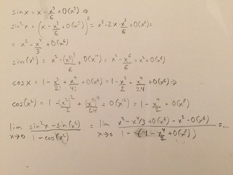
Låt mig testa:
= detta går ingenståns.
Med Taylor menar du det vi diskuterade i morse :)?
Jag är osäker att jag kan det med .
dajamanté skrev:Låt mig testa:
= detta går ingenståns.
Med Taylor menar du det vi diskuterade i morse :)?
Jag är osäker att jag kan det med .
Maclaurin-serieutveckling är ett specialfall av Taylor-serieutveckling.
Personligen föredrar jag nog att ta tjuren vid hornen och gå direkt på MacLaurin av tillräckligt hög grad här (minst 4).

Affe Jkpg skrev:dajamanté skrev:Låt mig testa:
= detta går ingenståns.
Med Taylor menar du det vi diskuterade i morse :)?
Jag är osäker att jag kan det med .
Maclaurin-serieutveckling är ett specialfall av Taylor-serieutveckling.
Som tomast80 skriver...andra "graden" räckte inte...men man kan roa sig med att öka "gradtalet" :-)
Limes, limes, limes!!! (inte LIMUS) av detta när närmar sig noll bör nu vara lätt att beräkna om man kommer ihåg hur derivata definieras.
Alltså jag får:
Jag tror att det är bara plugga sista delen av kursen i natt, för att man klarar sig inte utan maclauringutvekling....
@tomast80 och Affe: återkommer när jag har läst kapitlet...
Albiki skrev:Limes, limes, limes!!! (inte LIMUS) av detta när närmar sig noll bör nu vara lätt att beräkna om man kommer ihåg hur derivata definieras.
Snygg omskrivning, men detta ger väl ändå bara ett uttryck på formen:
?
Pust. Varför har jag anmält mig till provet?
Klockan är bara 8:47 och mitt huvud redan pulserar.