Potens av 2
Hej !
Vet inte om jag gör rätt samt om det är rätt om jag sätter rätt format på svaret
Talet är
Potens av 2
Blir
som blir
som blir
Känns som ett konstigt svar
eller?
Tacksam för hjälp
Fantom skrev:Hej !
Vet inte om jag gör rätt samt om det är rätt om jag sätter rätt format på svaret
Talet är
Potens av 2
Blir )
som blir
som blir
Känns som ett konstigt svar
eller?
Tacksam för hjälp
Hej och välkommen till Pluggakuten!
Svaret kan inte stämma eftersom uttryckets värde måste vara större än 2. Kan du se varför?
Yngve skrev:Fantom skrev:Hej !
Vet inte om jag gör rätt samt om det är rätt om jag sätter rätt format på svaret
Talet är
Potens av 2
Blir )
som blir
som blir
Känns som ett konstigt svar
eller?
Tacksam för hjälp
Hej och välkommen till Pluggakuten!
Svaret kan inte stämma eftersom uttryckets värde måste vara större än 2. Kan du se varför?
Hm bra fråga
trolige fel med början
2*
EDIT - misstog multiplikation för potens.
Din förenkling är rätt fram till sista steget.
är inte lika med .
Använd istället potenslagen
Yngve skrev:Din förenkling är rätt fram till sista steget.
är inte lika med .
Använd istället potenslagen
Oj
Ja :)
Blir
Rätt tänkt med att skriva om det som potenser.
I sista steget så blir jag dock lite fundersam. När du har de tre potenserna multiplicerat med varandra med samma bas så ska du addera ihop exponenterna enligt potenslagarna.
Vad blir
Jonto skrev:Rätt tänkt med att skriva om det som potenser.
I sista steget så blir jag dock lite fundersam. När du har de tre potenserna multiplicerat med varandra med samma bas så ska du addera ihop exponenterna enligt potenslagarna.
Vad blir ?
?
Nu förstår jag ej :)
?
EDIT - ser nu att jag missade en sak.
Ändrar mitt felaktiga svar ovan.
Fantom skrev:Jonto skrev:Rätt tänkt med att skriva om det som potenser.
I sista steget så blir jag dock lite fundersam. När du har de tre potenserna multiplicerat med varandra med samma bas så ska du addera ihop exponenterna enligt potenslagarna.
Vad blir ?
?
Nu förstår jag ej :)
?
Hur du får det till sjundedelar förstår jag ej. Minsta gemensamma nämnare är 4. Gör om alla till fjärdedelar och addera ihop. Det måste ju bli större än 1. Anledningen till att vi adderar ihop expontenterna är att potenslagarna fungerar så.
Det kan ha förvirrat dig att du och Yngve gemensamt kom in lite fel

Yngve skrev:EDIT - ser nu att jag missade en sak.
Ändrar mitt felaktiga svar ovan.
Fantom skrev:Jonto skrev:Rätt tänkt med att skriva om det som potenser.
I sista steget så blir jag dock lite fundersam. När du har de tre potenserna multiplicerat med varandra med samma bas så ska du addera ihop exponenterna enligt potenslagarna.
Vad blir ?
?
Nu förstår jag ej :)
?
Nej gör alla termer liknämniga, dvs gör om alla termer till fjärdedelar innan du summerar dem.
Fantom skrev:Yngve skrev:EDIT - ser nu att jag missade en sak.
Ändrar mitt felaktiga svar ovan.
Nu vet jag inte riktigt vad du är. Du kanske ska ta om det från början. Den där åttondelen har förrvirrat till det lite, den ska inte vara med.
Fantom skrev:Yngve skrev:EDIT - ser nu att jag missade en sak.
Ändrar mitt felaktiga svar ovan.
Nej det stämmer inte. Du behöver repetera hur man summerar bråktal.
Läs om det här.
Jonto skrev:Fantom skrev:Yngve skrev:EDIT - ser nu att jag missade en sak.
Ändrar mitt felaktiga svar ovan.
Nu vet jag inte riktigt vad du är. Du kanske ska ta om det från början. Den där åttondelen har förrvirrat till det lite, den ska inte vara med.
Fantom skrev:Jonto skrev:Fantom skrev:Yngve skrev:EDIT - ser nu att jag missade en sak.
Ändrar mitt felaktiga svar ovan.
Nu vet jag inte riktigt vad du är. Du kanske ska ta om det från början. Den där åttondelen har förrvirrat till det lite, den ska inte vara med.
ah nu fattar jag
är svaret
Fantom skrev:
OK bra.
Då börjar vi från början igen.
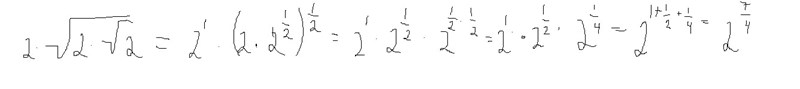
Du har , vilket är lika med , vilket är lika med .
Kommer du vidare då?
Visa dina uträkningar.
Fantom skrev:
ah nu fattar jagär svaret
Ja det stämner
Yngve skrev:Fantom skrev:OK bra.
Då börjar vi från början igen.
Du har , vilket är lika med , vilket är lika med .
Kommer du vidare då?
Visa dina uträkningar.
Fantom skrev:Yngve skrev:Fantom skrev:OK bra.
Då börjar vi från början igen.
Du har , vilket är lika med , vilket är lika med .
Kommer du vidare då?
Visa dina uträkningar.
Rätt?