4 svar
131 visningar
Ha en fin dag behöver inte mer hjälp
Ha en fin dag 3334
Postad: 18 feb 2023 14:25

Potenser

Hej! Jag har lite svårt att följa lösningen till det hör:

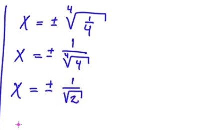
Hade verkligen uppskattat om någon hjälpte mig förstå varför fjärde kvadratroten av 1/4 är det som står på andra raden 

naytte Online 7919 – Moderator
Postad: 18 feb 2023 14:35 Redigerad: 18 feb 2023 14:36

Det är inte "fjärde kvadratroten", det är fjärde roten. Precis på samma sätt som x=x1/2 är x4=x1/4. Generellt gäller att xn=x1/n.

Enligt potenslagarna gäller att (ab)c=acbc, så här gäller att x=±(14)1/4=±141/4=±12.

Ha en fin dag 3334
Postad: 19 feb 2023 15:53
naytte skrev:

Det är inte "fjärde kvadratroten", det är fjärde roten. Precis på samma sätt som x=x1/2 är x4=x1/4. Generellt gäller att xn=x1/n.

Enligt potenslagarna gäller att (ab)c=acbc, så här gäller att x=±(14)1/4=±141/4=±12.

hur lyckades du komma fram till att 41/42 utan miniräknare?

Yngve 42687
Postad: 19 feb 2023 15:58
Ha en fin dag skrev:

hur lyckades du komma fram till att 41/42 utan miniräknare?

Eftersom 4 = 22 så kan vi skriva 41/4 som (22)1/4.

Använd sedan en potenslag för att förenkla detta uttryck.

Ha en fin dag 3334
Postad: 19 feb 2023 16:09
Yngve skrev:
Ha en fin dag skrev:

hur lyckades du komma fram till att 41/42 utan miniräknare?

Eftersom 4 = 22 så kan vi skriva 41/4 som (22)1/4.

Använd sedan en potenslag för att förenkla detta uttryck.

fattar! tack (:

Svara
Close