Potential Ellära i en koppling med kondensatorer
Hej! Jag är helt och hållet lost på denna fråga.
Frågan Lyder:
Potentialen är 4,0 V på vänstersidan i fig och 12,0 V på högersidan. Finns det någon punkt i kopplingen där potentialen är noll? Var i så fall?

För det första förstår jag inte hur kopplingen kan ha två olika potentialer på högra/vänstra sidan, potentialen borde väl vara likadan? För det andra förstår jag inte hur kondensatorerna ska kunna "ta utav" potentialen, då jag antar att det är i kondensatorerna nollställena ska ligga.
Jag tror att jag inte har grunderna till frågan, och är otroligt tacksam om någon kan förklara på ett genomgående sätt.
Jag gissar att vi har likspänning och då händer inget mer än att kondensatorerna får samma potential på den sida av plattan som är vänd mot spänningen. Emellan kondensatorerna kommer potentialen att vara noll. Om jag nu kommer ihåg rätt?
littvick skrev:För det första förstår jag inte hur kopplingen kan ha två olika potentialer på högra/vänstra sidan, potentialen borde väl vara likadan?
Varför tror du det?
Allt beror på vilka laddningar det finns på plattorna.
Och det beror på vad som hänt innan. Därför är det inte så lätt att svara på frågan. Finns det mer kontext?
Helt ärligt var det en gissning, jag är ovetandes.
Tyvärr inget mer kontext, det ända kan va att ämnet är Elektrostatik. Måste faktiskt rätta mig själv o säga att detta inte är Ellära utan Elektrostatik. Frågan är skapad av en professor så har svårt att tro att den skulle var inkomplett.
littvick skrev:Frågan är skapad av en professor så har svårt att tro att den skulle var inkomplett.
Ha! Det är inte alls ovanligt med outtalade antaganden i fysikuppgifter, det är nästan det vanliga.
I det här fallet får man då väl anta att det inte finns något fuffens. Då kan du kolla fallet med två seriekopplade kapacitanser och till exempel härledningen av ersättningsvärdet.
De serie kopplade kondensatorernas fall har jag studerat, samt parallellkoppling. Men det som förvirrar mig är hur potentialen ska komma att vara noll någonstans, samt att det är två olika potentialer på högra sidan kontra vänstra sidan.
Är det som ConnyN skrev att potentialen är noll mellan kondensatorerna? I så fall varför ens nämna 4V på vänstersidan o 12V på högersidan i uppgiften, det känns irrelevant.
Med tanke på 4V och 12V delen så känns det som en ekvation man ska räkna ut, men jag kan även ha helt fel där.
Vad menar du med härledningen av ersättningsvärdet?
littvick skrev:Är det som ConnyN skrev att potentialen är noll mellan kondensatorerna?
Jag tycker inte att det är rätt svar. Det kan vara noll volt om ett ställe har varit jordat, men det är vad jag menade med "det beror vad som hänt innan" och vi får nog bortse från det (fast det är nog bra att skriva i ett svar ifall det här skulle vara en lömsk slamkrypare).
Så betrakta två kapacitanser i serie, 4 volt på den ena sidan, 12 volt på den andra sidan. Rita laddningar, fälten och spänningar. Hur stor är ersättningskapacitansen?
littvick skrev:
Är det som ConnyN skrev att potentialen är noll mellan kondensatorerna?
Nej Pieter har rätt. Mitt minne var inte så bra.
Det som fick mig att tro det var att jag fått lära mig att i en likströmskrets flyter ingen ström genom en kondensator.
Vad jag inte tänkte på då är att det flyter en liten ström först till dess att den är uppladdad och vid ett spänningsbortfall behåller nivåerna på spänningen ett kort ögonblick.
En kort video förklarar detta bra i denna LÄNK
Hej, ursäkta för sent svar.
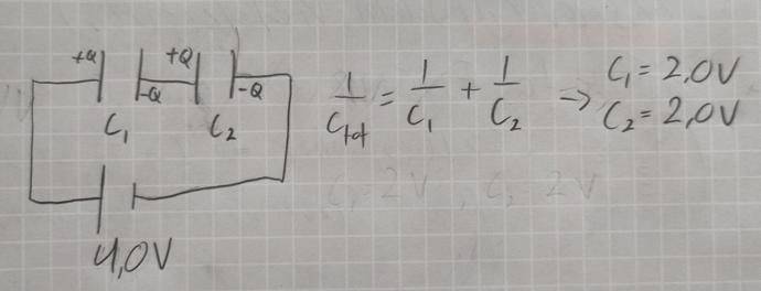
Jag gjorde som du skrev, ritade upp två kapacitanser i serie med 4V på ena sidan och 12V på andra sidan. Det jag fastnade på är att Utot är lika mycket som U1 + U2 . Men vad är den totala spänningen i detta fall, då den är olika på vardera sida an de seriekopplade kondensatorerna?
Ber om ursäkt om jag inte förstår något här, har tittat på alla möjliga exempel på Youtube, men ingen har tagit detta exempel med olika potential potential i kopplingen, endast då hela kopplingen har en konstant spänning.
Vad är det jag missar?
För att resonera sig fram till ett svar behöver du också rita laddningarna.
Kolla http://hyperphysics.phy-astr.gsu.edu/hbase/electric/capac.html#c3 (texter är snabbare än Youtube filmer).
Enligt länken så "sätter sig" laddningarna bredvid varandra såhär:

De positiva laddningarna skapar tomrum där de negativa laddningarna slutligen sätter sig, om jag uttrycker mig rätt. I denna seriekoppling lade jag till en strömkälla, för att visa att två kondensatorer håller 2.0V potential med ett 4.0V batteri.
Sedan ritade jag upp två seriekopplade kondensatorer med 12V på höger sida och 4V på vänster sida:

Eftersom att högersidan har ett större potential än vänstersidan antar jag att laddningarna flödar i den riktningen, för att de vill uppnå en balans(?). Ersättningskapaciteten vet jag inte vad det är, men jag vet hur man räknar ut den i en sluten krets med en strömkälla. Jag förstår inte poängen med att rita ut laddningarna då de bara sätter på respektive sida av kondensatorn.
Jag förstår att målet är att ni ska vägleda mig till lösningen, och det uppskattar jag enormt. Men detta har flugit helt över huvudet på mig, och det känns som jag sitter i en återvändsgränd. Under min akademiska karriär har jag suttit i många sådana återvändsgränder, och har därmed tagit hjälp från assistenter/kamrater/professorer, men nu under sommarn är jag lite på egen hand.
Jag förstår verkligen inte hur man ska tänka. Hur ska jag göra?
littvick skrev:Ersättningskapaciteten vet jag inte vad det är
Du skriver ju formeln där för ! Och visst heter det så på svenska? På samma sätt som ersättningsresistans vid parallell- eller seriekoppling av motstånd?
Så idén är att man börjar med oladdade kapacitanser: ingen spänning, ingen laddning.
Sedan kopplar man in dessa kapacitanser till en spänningskälla. Det ger laddningar på plattorna. Men när det inte finns direkt elektriskt kontakt med området mellan de yttra plattorna (här i grönt), förblir den totala laddningen där noll.
För potentialen kan man följa de elektriska fälten. Det är som du ritade, i båda är de ått samma håll. Så potentialen liggen på en nivå mellan de yttre potentialerna (halvvägs om båda C är lika stora).
Som svar på uppgiftens fråga: nej, då finns ingen punkt där potentialen är noll.
Okej! Jag tror jag börjar förstå nu.
Bara så att jag förstår rätt: Kondensatorerna laddas upp med laddningarna och då skapas ett elektriskt fält, där det elektriska fältet sedan skapar en spänning genom hela kopplingen? Med andra ord måste en spänning existera i hela kopplingen då det existerar ett elektriskt fält i kondensatorerna?
Tusen tack!
littvick skrev:
Med andra ord måste en spänning existera i hela kopplingen då det existerar ett elektriskt fält i kondensatorerna?
Ja, potentialen ligger mellan anslutningarnas potential eftersom fältet i kondensatorerna är i samma riktning.
Man skulle kunna fixa annorlunda (det är den slamkryparen som jag tänkte på).
Om man först har jordat mittemellan, blir fälten och laddningarna som i den vänstra figuren. I den ena är fältet uppåt, i den andra nedåt.
Sedan kan man ta bort jordanslutningen. Det ändrar inte laddningarna, fälten eller spänningarna över båda kapacitanser.
Och potentialen i mitten skulle fortfarande vara noll. (Och långsamt krypa upp.)