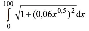
Problem med att använda integral på miniräknaren TI-84 Plus

Jag behöver kunna räkna ut detta på miniräknaren och få svaret = 108,5 när jag läger min värde X=0 och max värde X=100 men så fort jag lägger max värde X=100 så blir det inget svar. Jag skrev funktionen på olika sätt som t.ex roten ur X och en annan gång x^1/2 men fortfarande får jag inget svar. Hittar inte heller någon som visar exakt hur man skrev den för att få rätt svar.
Uppskattar om man visar steg för steg hur man knappar in för att få svaret. (Testa gärna först för att vara säker när du hjälper till)
Fungerar någon enklare integral?
Ska det möjligen vara punkt i stället för komma?
Ett alt. är att först räkna ut kvadraten:
Använd din smartphone och ta kort på exakt hur du skrivit in funktionen på Y= och beskriv sedan vad som händer när du tar:
- 2nd > TRACE (CALC)
- 7 : ∫f(x)dx
- Lower Limit? : 0
- Upper Limit? : 100
Den ska efter detta mata ut:
∫f(x)dx = 108.52202
Jag testade alla sätt exakt som ni alla skrev men inte en ända funkar. Det funkade på enklare integraler men inte just på denna. Den går vidare när jag skriver Lower Limit? : 0 men det blir Error när jag lägger Upper Limit: 100. Väldigt konstigt!
Har någon något ytterligare sätt som kan kanske funka eller till exempel om man vet vad som kan vara felet i miniräknaren (typ i inställningarna). Jag har min miniräknare på radianer så detta är inte felet. Skriv gärna flera sätt för jag är rätt att det inte funkar på provet så som det är nu.

Visa spoiler
Skriv ditt dolda innehåll här
Visa spoiler
Skriv ditt dolda innehåll här

I alla dessa fall fick jag samma sak förutom på första så fick jag en annan ritning på grafen. Men på allihopa kunde jag inte ansätta X= 100 på Upper Limit. Visar även en bild på hur det ser ut innan jag lägger X=0 och X=100
När jag skriver den utan graf, dvs utan Y= och Calc sättet så funkar det. Men det funkar inte fortfarande på ”Y=” sättet
Du måste justera "window"
Xmax t.ex. 110
Xscl t.ex. 10
Ymin t.ex. 1
Ymax t.ex. 1.2
Abbe77 skrev:
När jag skriver den utan graf, dvs utan Y= och Calc sättet så funkar det. Men det funkar inte fortfarande på ”Y=” sättet
Det där är inte samma integral som i ditt första inlägg.
Du borde uppdatera ditt firmware via Texas Instruments hemsida, du har en väldigt gammal version. Det verkar helt enkelt som att det ConnyN skriver stämmer vilket bara sker på de absolut första versionerna av TI-84 Plus firmware.
Ebola skrev:Det där är inte samma integral som i ditt första inlägg.
Du borde uppdatera ditt firmware via Texas Instruments hemsida, du har en väldigt gammal version. Det verkar helt enkelt som att det ConnyN skriver stämmer vilket bara sker på de absolut första versionerna av TI-84 Plus firmware.
Aha jag har en TI-83 Plus. Kanske den också går att uppdatera?
Integralen vi tittat på är så vitt jag förstår uträkning av en kurvas båglängd. Stämmer det? Det verkar vara på gränsen till vad man ska känna till i Matte4. I min lärobok låg det som en frivillig extrauppgift, men då fick vi den färdiga formeln.
ConnyN skrev:Aha jag har en TI-83 Plus. Kanske den också går att uppdatera?
Sannolikt. Speciellt om upphöjt i kvadrat exempelvis bara är ^2 eller om roten ur bara är ✓(...) och inte ett fullständigt rotuttryck.
Men framförallt på grund av att calc av alla dess slag kräver Window för att inte vara out of bounds.
Integralen vi tittat på är så vitt jag förstår uträkning av en kurvas båglängd. Stämmer det? Det verkar vara på gränsen till vad man ska känna till i Matte4. I min lärobok låg det som en frivillig extrauppgift, men då fick vi den färdiga formeln.
Ingen aning men påminner om det. Oavsett är integralen personen själv försökt räkna ut inte samma som den vilken vi ser i första inlägget.