Punkten (3.a) ligger lika långt från origo som från punkten (1.5) bestäm talet a
Så det jag gjorde var att rita
Jag hade origo som min första punkt, sedan rita jag en triangel utifrån (3.a) och (1.5)
Vad är mitt nästa steg? hur får jag fram a
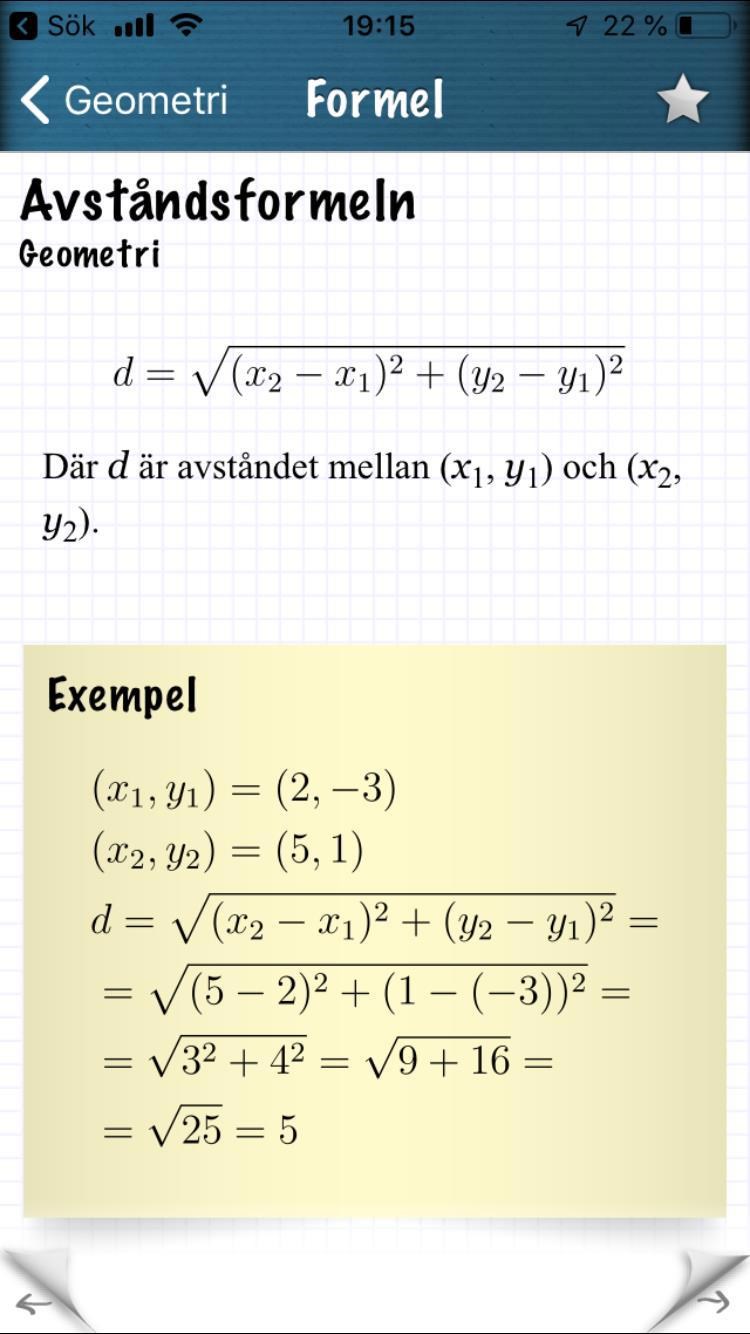
Använd denna formel:

tomast80 skrev:Använd denna formel:
Hur använder jag formeln om jag har ett a? Det går väl inte att använda
Har (1,5) och (3,a)
Mir022 skrev:
Hur använder jag formeln om jag har ett a? Det går väl inte att använda
Har (1,5) och (3,a)
Jo det går alldeles utmärkt.
- Avståndet från origo, dvs punkten (0; 0), till punkten (1; 5) är enligt avståndsformeln .
- Avståndet från punkten (1; 5) till punkten (3; a) är enligt avståndsformeln .
Dessa två avstånd ska vara lika stora.
Kommer du vidare då?
Yngve skrev:Mir022 skrev:Hur använder jag formeln om jag har ett a? Det går väl inte att använda
Har (1,5) och (3,a)
Jo det går alldeles utmärkt.
- Avståndet från origo, dvs punkten (0; 0), till punkten (1; 5) är enligt avståndsformeln .
- Avståndet från punkten (1; 5) till punkten (3; a) är enligt avståndsformeln .
Dessa två avstånd ska vara lika stora.
Kommer du vidare då?
A-5 upphöjt till 2 hur mycket blir det?
Mir022 skrev:
A-5 upphöjt till 2 hur mycket blir det?
Du kan använda andra kvadreringsregeln .
Men det är bättre att behålla under uträkningarna. Förenkla istället allt det andra och lös ut ur ekvationen.
Yngve skrev:Mir022 skrev:A-5 upphöjt till 2 hur mycket blir det?Du kan använda andra kvadreringsregeln .
Men det är bättre att behålla under uträkningarna. Förenkla istället allt det andra och lös ut ur ekvationen.
Och hur gör jag det? wtf asså
Mir022 skrev:
Och hur gör jag det? wtf asså
Börja med att skriva en ekvation som beskriver att avstå den är lika långa.
Kvadrera sedan båda sidor.
Visa dina försök.
Hej, jag förstår fortfarande inte riktigt...
Mina tankar är att
Fattar inte riktigt vad jag gör fel?
Det var jag som läste fel på uppgiften.
Det som ska gälla är att avståndet mellan (3, a) och (0, 0) ska vara lika långt som avståndet mellan (3, a) och (1, 5).
Dvs
Tack nu förstår jag!