1
svar
102
visningar
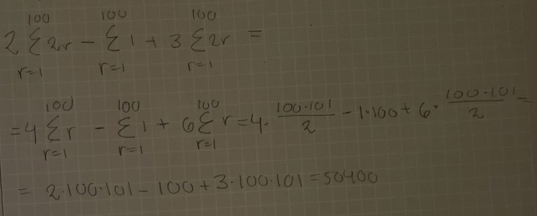
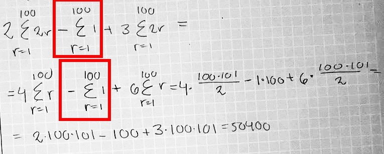
Räkna med summatecken
Hej. Jag håller på att räkan med summa tecken men jag får bara fel på denna fråga. Vad är det som blir fel. Det ska vara 50300. Men ja får 50400…
frågan:

min närmaste lösning:

Gör gärna bilden lite ljusare innan du lägger upp den.
