4 svar
160 visningar
Sofia998 behöver inte mer hjälp
Sofia998 27
Postad: 29 aug 2023 18:06

Rationella uttryck förenkling

Hej,

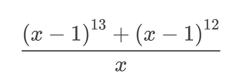
Skulle någon kunna hjälpa mig med hur jag ska påbörja denna uppgift. Finns det något jag kan bryta ut, som en parantes, och isåfall hur bryter jag ut den?

naytte Online 7978 – Moderator
Postad: 29 aug 2023 18:09

Du kan bryta ut (x-1)12. Då får du:

(x-1)12((x-1)+1)x

Kommer du vidare då? 

Sofia998 27
Postad: 29 aug 2023 18:41
naytte skrev:

Du kan bryta ut (x-1)12. Då får du:

(x-1)12((x-1)+1)x

Kommer du vidare då? 

Ja, tack så mycket!

Yngve 42881
Postad: 29 aug 2023 19:26 Redigerad: 29 aug 2023 19:26

Om du har svårt att se såna saker så är ett bra tips att hitta komplicerade uttryck som förekommer flera gånger och tillfälligt ersätta dem med något enklare.

I ditt exempel står det x-1x-1 på två ställen.

Om vi tillfälligt ersätter x-1x-1 med aa så blir uttrycket a13+a12x\frac{a^{13}+a^{12}}{x}.

Då kanske det blir lättare att se att det går att bryta ut a12a^{12} i täljaren.

Vi får då a12(a+1)x\frac{a^{12}(a+1)}{x}

Byt nu tillbaka från aa till x-1x-1 så får vi (x-1)12((x-1)+1)x\frac{(x-1)^{12}((x-1)+1)}{x}

Sofia998 27
Postad: 18 sep 2023 18:49
Yngve skrev:

Om du har svårt att se såna saker så är ett bra tips att hitta komplicerade uttryck som förekommer flera gånger och tillfälligt ersätta dem med något enklare.

I ditt exempel står det x-1x-1 på två ställen.

Om vi tillfälligt ersätter x-1x-1 med aa så blir uttrycket a13+a12x\frac{a^{13}+a^{12}}{x}.

Då kanske det blir lättare att se att det går att bryta ut a12a^{12} i täljaren.

Vi får då a12(a+1)x\frac{a^{12}(a+1)}{x}

Byt nu tillbaka från aa till x-1x-1 så får vi (x-1)12((x-1)+1)x\frac{(x-1)^{12}((x-1)+1)}{x}

Sent svar men tack så mycket !

Svara
Close