Rotationskroppens volym beräkning mha skivmetod
I havet av inlägg (har försökt leta efter samma här men hittar ingen) om samma sak postar jag min frågeställning kring denna uppgift. Se bilder nedan.
Svaret skall bli 52pi/3 eller ca 54 v.e
HUR???


Är du med på att
?
(när |x| ≤ 3)
Dr. G skrev:Är du med på att
?
(när |x| ≤ 3)
Nej, det är jag inte med på, haha. Hur menar du nu?
Edit: Ahhh vad dum jag är
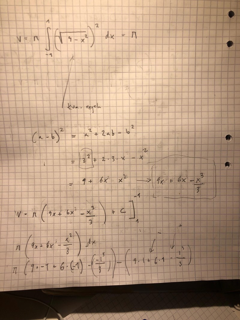
Okej så primitiva funktionen är
9x - x^3/3 då
Alltså ..
(9*-1 - (-1^3/3) - (9*1+(1^3/3) ?
Jag får då antingen -2,0943951 (om jag gångar pi med paranteserna var för sig eller om jag lägger ihopa paranteserna och sedan gånger det med pi får jag -56,5486..
Det blir π(9-1/3-(-9-(-1/3)))=π(18-2/3)=52π/3.
Du verkar blanda ihop integrationsgränserna och slarva med minustecknen.
Enklare beräkning och mindre risk för slarvfel får du om du noterar att kurvan (och därmed rotationskroppen) är symmetrisk med avseende på y-axeln.
Det räcker alltså att integrera från 0 till 1.
Primitiva funktionens värde vid undre integrationsgränsen blir då 0, vilket underlättar beräkningarna.
Volymen är sedan dubbelt så stor som integralens värde.