S-t grafen
Uppgiften 390 f . 
Har jag ritat grafen rätt? Det jag gjorde va att räkna ut arean under v-t grafen som ger sträckan, sen pricka in sträckan i s-t grafen. Hur jag vet om det är rätt? Grafen starta från s=4 det är S0=4
Sträckan ges genom formeln S=vt.
När t=0 är S=4*0 inte 4
Det framgår inte var startpunkten är, så den kan du välja fritt själv. Men det är rimligt att anta att startpunkten är m.
När du ritar s/t-grafen ska du tänka på att hastigheten v vid en viss tidpunkt är lika med s/t-grafens lutning vid den tidpunkten.
Det betyder att s/t-grafen ska ha lutningen
- 4 vid t = 0
- Drygt 6 vid t = 1
- Cirka 9 vid t = 2
- Knappt 12 vid t = 3
- 14 vid t = 4
- Drygt 16 vid t = 5
Det betyder att s/t-grafens lutning hela tiden ska öka.
Överkurs som kommer in lite senare i dina kurser: Eftersom v/t-grafen ökar linjärt så kommer s/t-grafen att öka kvadratiskt, dvs s/t-grafen ser ut som en parabel under de första 5 sekunderna.
Vid t = 5 sekunder ska s/t-grafens höjd motsvara arean under v/t-grafens första 5 sekunder, dvs cirka 51 meter, så där stämmer din graf.
Men efrer det så är din s/t-graf fel. Den ska inte gå ner till 0 igen. Det skulle ju motsvara att Linus hamnar tillbaka till s = 0, dvs toppen av backen, och det på bara 1 sekund.
Istället borde s/t-grafen plana ut mer och mer när hastigheten sjunker för att bli ett horisontellt streck på den nivå som motsvarar den totala arean under v/t-grafen.
Typ så här någonting:

Men det syns på första grafen att den startar vid v=4 alltså s0=4. Varför forsätter linjen horisontellt efter t=5s?
Lisa14500 skrev:Men det syns på första grafen att den startar vid v=4 alltså s0=4. Varför forsätter linjen horisontellt efter t=5s?
Ja, på första grafen syns det att starthastigheten är 4 m/s. Det betyder helt enkelt att de börjar räkna tiden då Linus redan åker i 4 m/s. Det brukar kallas "flygande start".
Men det betyder inte att startpositionen måste vara 4 meter. Som jag skrev i mitt förra svar så kan vi själva välja vilken startpunkt Linus ska ha. Det är rimligt att låta honom börja vid s = 0 då t = 0.
====
Orsaken till att linjen fortsätter horisontellt efter t = 5,5 sekunder är att v/t-grafen då visar att Linus har hastigheten 0, dvs han rör sig inte, dvs han blir kvar på den positionen s där han befinner sig vid t = 5,5 sekunder.
grafen mellan 5 s och 5.6 går neråt. Borde det inte betyda att sträckan blir 0 efter det?
Hastigheten går ner till 0.
Det betyder att Linus stannar och står stilla.
Positionen s = 0 är ju vid toppen av pulkabacken.
Att s/t-grafen går ner till 0 motsvarar alltså att Linus återvänder till toppen av backen.
För att han ska nå dit måste han ha en negativ hastighet under en period. Men det finns ingen sådan period i v/t-grafen.
Men hastigheten i grafen i uppgiften går neråt mellan t=5.6s fram tills t=6 . Vad betyder det? Och hur kan man rita in det här i en s-t graf? Jag försöka räkna ut arean under just den del av graf men det inte blev rätt
Det betyder att hastigheten minskar, dvs att pulkan saktar ner.
Hastigheten vid en viss tidpunkt är lika med s/t-grafens lutning i den tidpunkten.
Om hastigheten minskar så minskar alltså s/t-grafens lutning.
Det betyder att s/t-grafen då blir flackare och flackare tills hastigheten är 0, då är även s/t-grafens lutning lika med 0.
Så här:

Jag tror inte att jag skrev min fråga på ett tydligt sätt.
Jag menar hur ska jag räkna ut arean under den svart sträckande området. Det är ju arean under V-t grafen som ger sträckan

Ja, men backen är inte så lång.
Hastigheten ökar bara så länge som det lutar neråt.
När backen tar slut så kommer hastigheten att börja minska, pga friktion mot snön.
Det betyder att backen tar slut efter cirka 5 sekunder.
Är det därför du ritade en horisontell linje efter t=5s?
Ja, s/t-grafen blir horisontell då v/t-grafen är lika mrd 0, dvs efter t 5,6 sekunder.
Jag försökte illustrera förloppet i den här bilden. Fråga gärna om det är något som är oklart.

Men om grafen mellan t=5s och t=5.6 går från 16.5m/s till 0m/s borde man inte räkna ut arean under det stället? För jag inte tror att jag förstår
Arean under den delen av grafen motsvarar den sträcka som pulkan fortsätter att glida efter att backen har tagit slut.
Så här bör graferna se ut.
Den första grafen visar hur backen kan se ut i verkliga geografiska världen, dvs det är inte en s/t- eller v/t-graf.

Det är just hur du ritar slutet av S-t grafen som är förvirrande. Varför blir det en horisontell linje i Slutet av s-t grafen? Jag inte förstår hur du får det till att bli en horisontell linje?
- Hastigheten vid en viss tidpunkt t är lika med s/t-grafens lutning vid tidpunkten t.
- Eftersom hastigheten är 0 efter cirka 5,6 sekunder så är s/t-grafens lutning lika med 0 efter cirka 5,6 sekunder.
- Om lutningen är lika med 0 så är grafen horisontell.
Säg till om du behöver förklaring av hur man kan avgöra en grafs lutning?
Jag tror att jag behöver ha en förklaring på vad du menar här
”Hastigheten vid en viss tidpunkt t är lika med s/t-grafens lutning vid tidpunkten t.
Eftersom hastigheten är 0 efter cirka 5,6 sekunder så är s/t-grafens lutning lika med 0 efter cirka 5,6 sekunder.
Om lutningen är lika med 0 så är grafen horisontell.”
En sak som ligger stilla ändrar inte sin s-koordinat, fastän tiden fortsätter. Då blir det en vågrät linje i s-t-diagrammet.
Eftersom du har en tråd till igång från denna uppgift så svarar jag här eftersom de hänger ihop.
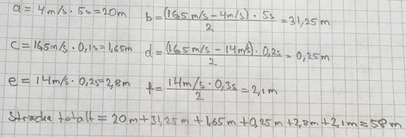
I figuren nedan har jag delat in området under grafen i ytor. Benämnda från a - f.

Mina beräkningar av ytorna kommer här:

I bilden har jag även skrivit in mina beräknade accelerationer som hör till den andra tråden och som Smaragdalena skrev så är det svårt att säga vad som är korrekta siffror, eftersom avläsningen blir grovuppskattningar.
Du undrar ju över den horisontella delen i s/t-grafen. Om du tänker att så länge vi har en yta som ligger ovan nollinjen så ökar längden av banan. När den ligger på nollinjen som den gör mellan 5,6 och 6 sekunder då har du ingen yta under grafen och då kan inte sträckan varken öka eller minska.
Punkterna på grafen räknar du lättast ut genom att välja ytor under 1 sekund, 2 sekunder osv. och obs. att ytan= sträckan och du måste addera de med varandra för varje punkt på s/t-grafen.
Lisa14500 skrev:Jag tror att jag behöver ha en förklaring på vad du menar här
”Hastigheten vid en viss tidpunkt t är lika med s/t-grafens lutning vid tidpunkten t.
Eftersom hastigheten är 0 efter cirka 5,6 sekunder så är s/t-grafens lutning lika med 0 efter cirka 5,6 sekunder.
Om lutningen är lika med 0 så är grafen horisontell.”
Vet du vad man menar med en grafs lutning?