Separabel diffekv
Hej, kan någon bolla en uppgift med mig?
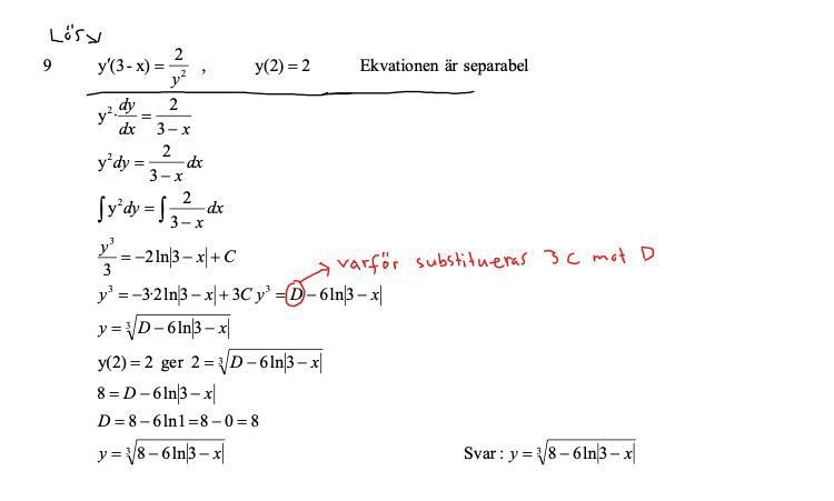
Uppgift

Fråga
Jag har ringat in min fråga med rött i bilden.
En till fråga gällande bilden: Vart kommer minustecknet ifrån framför 2:an i
1. För att få ett uttryck som ser lite mindre krångligt ut
2. Inre derivata
2. Kan du visa stegen där tror du?
Nej, men du kan väl visa hur du deriverar funktione, så kan vi hitta var det går fel. Kommer du ihåg kedjeregeln från Ma4?
Ett tramsinlägg raderat. /Smutstvätt, moderator
Kedjeregeln=Används för att derivera en sammansatt funktion y=F(x) med innehållet f(x) och g(x) vilket ger y'=f'(u)*g'(u).
Fast än jag har denna regel framför har jag fortfarande svårt att identifiera inre och yttre funktion :(
Känns inte som jag förstår ändå trots mitt försök nedan.
Nej, inte riktigt. Yttre funktionen är . Yttre derivata är .
Inre funktion är . Inre derivata är .
Alla mina beteckningar är helt godtyckliga och kan bytas ut mot vad som helst som man tycker passar bättre. Jag valde att kalla den första funktionen för f eftersom varförinte, och eftersom dess argument inta var "bara x" så kallade jag det något annat, såm råkade bli t. Den andra funktionen kallade jag g, eftersom det kommer efter f i alfabetet. Där passade det att ha x som variabel, så det fick bli kvar.
Ögonöppnande svar!!!
Du gör alltså ett "variabelbyte", (3-x) blir t. Du deriverar sedan det nya uttrycket med avseende på t. Efter detta sätter du återigen 3-x ??
Är detta något generellt sätt, kan man byta ut ett "krångligt uttryck" mot en godtycklig variabel, sedan derivera funktionen med avseende på den godtyckliga variabeln och sedan sätta åter det "krångliga uttrycket?
Det är kedjeregeln, som du borde ha lärt dig i Ma4.
Har varit dum och inte lagt ner tillräckligt med tid på den tidigare!!
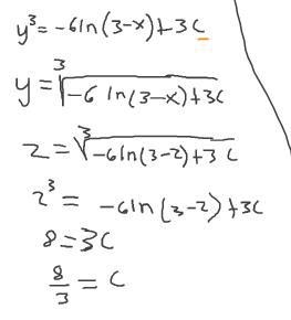
Men du, jag provade i denna uppgift att inte substituera 3c mot D (som min första fråga gällde). Jag fick då ett annat värde på c. Det verkar ju därför mer rätt att bara se 3c som en konstant D. Men ditt svar till denna fråga var ju"För att få ett uttryck som ser lite mindre krångligt ut", och det svaret tolkar jag som att man nödvändigtvis inte måste byta 3c mot D. Hur ska man tänka och varför?

representerar en konstant. Ett tal. Gör du nu substitueringen att så ser du ju att .
Men eftersom vi alltid föredrar att skriva "snyggt" i matten, så byter man alltid ut konstanter mot en enda bokstav. Vad tycker du ser finast ut, eller ? Jag vet vilken jag föredrar.
Så i framtiden när jag stöter på en integrering som leder fram till en godtycklig konstant (låt kalla C), så kan jag tänka "även om en förenkling av uttrycket leder till att en given konstant (låt kalla a) "paras ihop med C --> aC så är detta fortfarande en godtycklig konstant liksom D, och slutligen less is more --> ac --> D"
nyfikenpåattveta skrev:Så i framtiden när jag stöter på en integrering som leder fram till en godtycklig konstant (låt kalla C), så kan jag tänka "även om en förenkling av uttrycket leder till att en given konstant (låt kalla a) "paras ihop med C --> aC så är detta fortfarande en godtycklig konstant liksom D, och slutligen less is more --> ac --> D"
Ja, det blir ännu mer tydligt när du får en lösning som är på exponentialform, typ . Här kan du använda någon regel (vem kommer ihåg alla namn...?) och skriva det som . Ser det fint ut? Inte direkt. Men om du tänker efter så är bara en konstant. Säg att så får du att lösningen kan skrivas som . Mycket finare, enklare att hantera, lätt att bestämma.
Därför kan det vara bra att substituera bort "fula" konstanter, men oavsett om du gör det eller inte så kommer du få samma svar.
Tack för all hjälp!!
Hej!
Det som facit kallar konstanten kan lika gärna skrivas vilket ger ekvationen
vilket ger funktionerna
Kravet är bara uppfyllt av en av dessa funktioner, nämligen funktionen
för vilken konstanten .