Skillnaden på Lg och Ln
Hej!
Skulle någon kunna förklara för mig när jag ska använda Lg och när jag ska använda Ln när jag räknar på tal.
Jätte förvirrad när jag ska välja mellan de två. Jätte tacksam för en förklaring. Tack i förhand :)
Oftast spelar det ingen roll. Logaritmlagarna gäller i båda fallen. Däremot kan det vara naturligt (pun intended) att använda ln om du har talet e med i uppgiften medan lg är bättre om du har en uppgift med tiopotenser.
Det du förklarade fattar jag.

Men tillexempel på denhär uppgiften, betyder det att jag kan välja mellan Lg och Ln?
Ja visst kan du det (jag visar längst ner i inlägget hur) men som Teraeagle skriver så är detta ett fall där det underlättar väldigt att använda naturliga logaritmen eftersom den och e^x är inverser och tar ut varandra. Det ser du kanske tydligt på näst sista steget i uträkningen och sedan "försvinner bara" ln e till nästa rad och vi får
ln e är nämligen lika med 1 och påverkar därför ingenting, vilket gör att när man förstått detta direkt kan dra slutsatsen att ln och e "tar ut varandra" och därför blir endast exponenten kvar alltså i allmänhet .
Hade du löst det med tiologaritmer hade du fått ut samma sak, men du hade behövt räkna lite mer. Jag kan visa:
lg e är dock INTE lika med 1 och måste då också tas med i beräkningen men vi kan lösa det ändå
Dividera båda sidor med 432 * lg e och vi får:
Lite otympligare men slår vi ut allt korrekt så får vi fram samma svar, men vi få fler faktorer att hålla reda på och därför föredrar man naturlig logaritm i de fall man har ekvationer med e upphöjt till något för att ln och talet e tar ut varandra.
Omvänt gäller som Teareagle säger om du har ekvationer som ser ut = a . Då kan man absolut använda även naturliga logaritmer här med men eftersom då lg och 10^x är inverser tar ut varandra, så blir det en fördel att använda tiologaritmer.
Blev det klarare tycker du?
Som det redan sagts så spelar det ingen roll viket du använder när du skall lösa exponentialekvationer, svaret kommer ändå att bli samma. Enda undantagen till detta blir när det är e eller 10 som är bas i exponentialekvationen då det blir lättare att använda ln i första fallet och lg i andra.
Däremot, när du skall börja derivera exponentialfunktioner (som du snart skall göra eftersom du går Ma3 och precis har infört e och ln) så blir det mycket enklare att använda e som bas. Detta beror på att derivatan av är medan derivatan av är . (I detta fall är det ln och inte lg som gäller). Man får alltså enklare uttryck för derivatan om vi använder e som bas för exponentialfunktionen när vi skall derivera
Jonto skrev:Ja visst kan du det (jag visar längst ner i inlägget hur) men som Teraeagle skriver så är detta ett fall där det underlättar väldigt att använda naturliga logaritmen eftersom den och e^x är inverser och tar ut varandra. Det ser du kanske tydligt på näst sista steget i uträkningen och sedan "försvinner bara" ln e till nästa rad och vi får
ln e är nämligen lika med 1 och påverkar därför ingenting, vilket gör att när man förstått detta direkt kan dra slutsatsen att ln och e "tar ut varandra" och därför blir endast exponenten kvar alltså i allmänhet .
Hade du löst det med tiologaritmer hade du fått ut samma sak, men du hade behövt räkna lite mer. Jag kan visa:
lg e är dock INTE lika med 1 och måste då också tas med i beräkningen men vi kan lösa det ändå
Dividera båda sidor med 432 * lg e och vi får:
Lite otympligare men slår vi ut allt korrekt så får vi fram samma svar, men vi få fler faktorer att hålla reda på och därför föredrar man naturlig logaritm i de fall man har ekvationer med e upphöjt till något för att ln och talet e tar ut varandra.
Omvänt gäller som Teareagle säger om du har ekvationer som ser ut = a . Då kan man absolut använda även naturliga logaritmer här med men eftersom då lg och 10^x är inverser tar ut varandra, så blir det en fördel att använda tiologaritmer.
Blev det klarare tycker du?
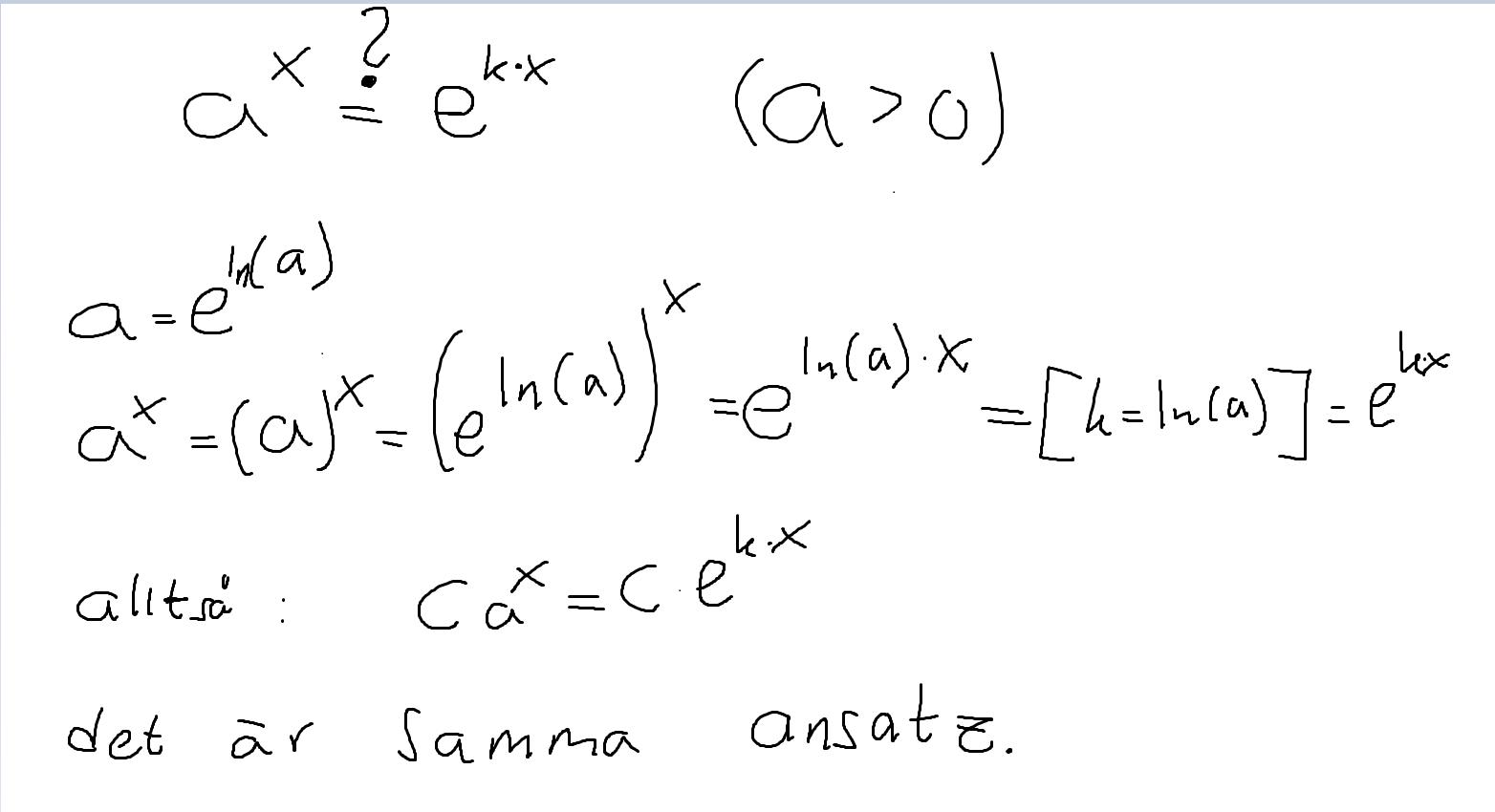
Jag förstod inte varför tog dem exponential funktion y=Ce^kx.. Jag kan inte hitta förklaring nånstans. Jag tänkte att exponential funktion är y=Ca^x🥺
Kan du förklara, är du snäll?

Det är samma ansats som jag visar här med lite potenslagar. Det som är trevligt med att ha e^(kx) är att då är inversen typ ln.