Det här steget stämmer inte.
Det gäller inte att är lika med (samma fel i högerledet).

Kalla istället för . Då är lika med .
Kommer du vidare då?
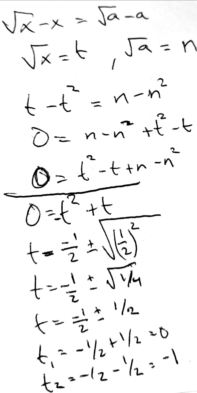
Jag förstår hur du tänker, genom att ersätta roten ur x med t.
Men tyvärr så kommer jag inte vidare
Du får då en andragradsekvation i t som du kan lösa med hjälp av kvadratkomplettering eller pq-formeln.
Visa dina försök.
Jag kan inte bifoga bilder nu. Den bara laddar.
Men jag får t1=0 och t2=-1
Du behöver inte kalla för men om du vill kan du tillfälligt kalla för t.ex. c.
Då blir ekvationen
Med hjälp av pq-formeln får du då att
För att den ekvationen ska ha reella lösningar måste det gälla att , dvs att .
Sen vill vi även ha att , vilket innebär att .

Såhär säger de i facit. Jag förstår inte deras lösning. Skulle du kunna förklara deras lösning?
Din lösning var begriplig. Men jag måste gå igenom och tänka på uppgiften mer.
I facit gör de på följande sätt.
Samla alla termer på ena sidan:
Flytta runt lite:
Eftersom vi bara är intresserade av och eftersom vi måste ha att så kan vi skriva som och som :
Använd konjugatregeln på de två första termerna:
Faktorisera:
Förenkla:
Nollproduktmetoden ger nu de möjliga lösningarna enligt
Blev det enklare att förstå då?


