3
svar
124
visningar
Mollyhej behöver inte mer hjälp
Skriva den geometriska formeln om a3=50 och a6=-6250
Hej. Jag behöver hjälp med att lösa en uppgift om geometriska talföljder. Man ska skriva den allmänna formeln för elementet n. Den informationen man får är att a3=50 och a6=-6250.
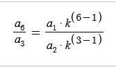
jag förstår inte hur man ska gå till väga. Man får ju inte veta a1 eller k? Och man kan inte ta reda på de. Eftersom a1 får man inte veta. Och k får man genom och ta kvoten mellan två tal i talföljden efter varandra, 3 och 6 är ju inte efter varandra….
du löser ut k såhär sedan kan du lösa a1 också
Annars kan du tänka att a3*k*k*K=a6
Vilket betyder att k3=-6250/50
Kommer du vidare?
Jag provade göra på båda sätten och fick att k=-5 båda gångerna! Och sen efter de kunde ja ju ta reda på a1!! Tack så mycket!!!
