6 svar
125 visningar
qxk9 behöver inte mer hjälp
qxk9 6 – Fd. Medlem
Postad: 30 maj 2023 12:17

Snett kast, som landar under noll-nivå, med endast x, y0 och kastvinkel känt

Hej!

Jag har en uppgift som jag inte kan lösa. Man ska bestämma utgångshastigheten för en kula som kastas 2,1 m över marken med en kastvinkel på 42 grader då den landar på marken efter att ha färdats 18,28 m i x-led. Alltså:

α0 = 42°
g = 9,82 m/s^2
x = 18,28 m
y0= 2,1 m
(y = -2,1 m)

Jag antar (men är inte säker på) att jag ska använda mig av följande formler:
x=v0t cosα0
y=v0t sin α0-gt22

men kan inte få ihop det.

Jag hittade följande tråd som innefattar samma (tror jag) problem som mitt, men som inte leder långt för min del: Sneda kast (x och vinkeln är känd)

Speciellt är kommentaren:

Yngve skrev:

OK, då går det att räkna ut begynnelsehastigheten (om vi dessutom känner till höjden vid utkastet).

Det finns en formel för detta som går att härleda från de båda ekvationerna för position i x- och y-led

x(t) = x0+v0xt

y(t) = y0+v0yt+ayt2/2

Vad för (ena) formel pratar hen om?

Tack!

Macilaci 2214
Postad: 30 maj 2023 13:33

x0 = 0 m

y0 = 2,1 m

x(tslut) = 18,28 m

y(tslut) = 0 m

Nu har du två ekvationer och två okända: tslut och v0.

Du behöver eliminera tslut och uttrycka v0.

qxk9 6 – Fd. Medlem
Postad: 30 maj 2023 15:04 Redigerad: 30 maj 2023 15:07
Macilaci skrev:

x0 = 0 m

y0 = 2,1 m

x(tslut) = 18,28 m

y(tslut) = 0 m

Nu har du två ekvationer och två okända: tslut och v0.

Du behöver eliminera tslut och uttrycka v0.

Tack för snabbt svar! Ok.

Jag förstår dock inte hur. Ska jag lösa ut t ur y(t) och sen substituera in det i x(t) för att sen lösa ut v0? Eller kan man använda sig ut av typ additionsmetoden vid lösning av ekvationsystem? I så fall, hur då?

Det verkar väldigt invecklat. Vill bara veta om jag tänker fel, om det finns något enklare sätt att lösa problemet.

Tack!

EDIT: Jag vet inte om jag klarar av att lösa ut v0 då.

Ture 11144
Postad: 30 maj 2023 17:41
qxk9 skrev:

Hej!

Jag har en uppgift som jag inte kan lösa. Man ska bestämma utgångshastigheten för en kula som kastas 2,1 m över marken med en kastvinkel på 42 grader då den landar på marken efter att ha färdats 18,28 m i x-led. Alltså:

α0 = 42°
g = 9,82 m/s^2
x = 18,28 m
y0= 2,1 m
(y = -2,1 m)

Jag antar (men är inte säker på) att jag ska använda mig av följande formler:
x=v0t cosα0
y=v0t sin α0-gt22

men kan inte få ihop det.

Om du sätter in de siffror du har får du

18,28 = v0tcos(42)
-2,1 = v0tsin(42) -9,81*t2/2

ur den första kan du lösa ut v0 och sätta in det i den andra (substitutionsmetoden) ekvationen som du sen löser ut t ur.

qxk9 6 – Fd. Medlem
Postad: 30 maj 2023 19:14
Ture skrev:

Om du sätter in de siffror du har får du

18,28 = v0tcos(42)
-2,1 = v0tsin(42) -9,81*t2/2

ur den första kan du lösa ut v0 och sätta in det i den andra (substitutionsmetoden) ekvationen som du sen löser ut t ur.

Visst kan jag välja att lösa ut t ur den andra sedan stoppa in det som t i den första och lösa för v0? (du tipsar om att börja med v0 sedan t, men då måste jag väl gå tillbaka och stoppa in t i någon av de 2 ekvationerna för att lösa ut v0 numeriskt. Eller måste jag göra i den ordningen?)

Tänkte jag skulle pröva imorgon, har inte tid nu.

Tack!

Ture 11144
Postad: 30 maj 2023 19:19

Det går att göra tvärtom, dvs lösa ut t och sätta in osv, min gissning är att det blir jobbigare beräkningar. Prova gärna bägge sätten! 

qxk9 6 – Fd. Medlem
Postad: 31 maj 2023 12:51
Ture skrev:

Det går att göra tvärtom, dvs lösa ut t och sätta in osv, min gissning är att det blir jobbigare beräkningar. Prova gärna bägge sätten! 

Tack för hjälpen Ture (och Macilaci)

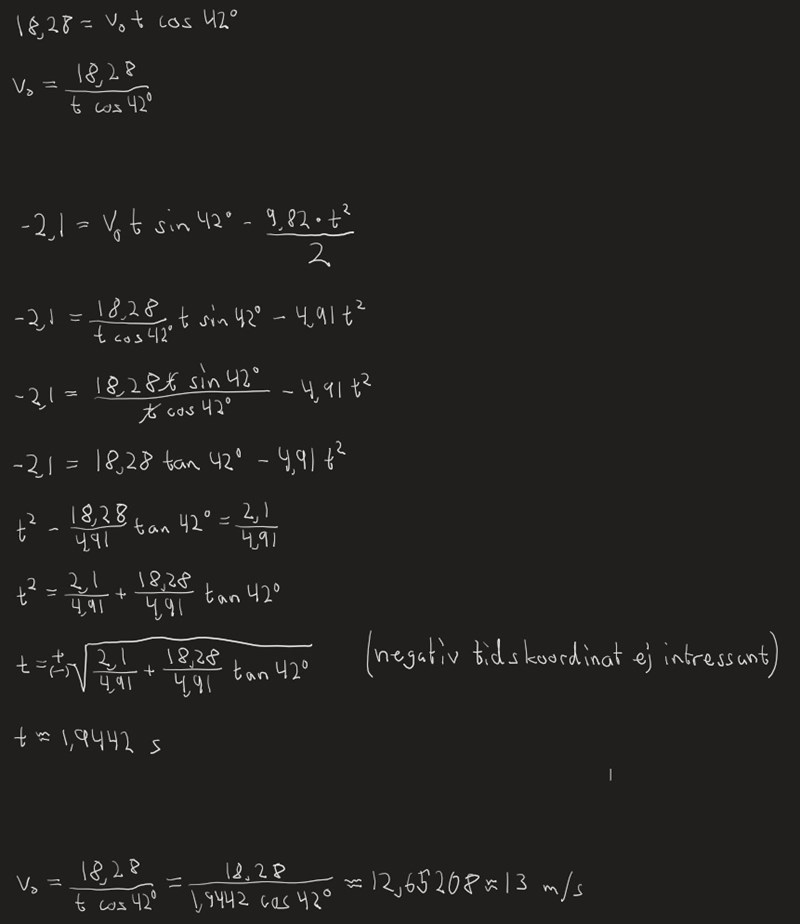
Prövade båda sätten, kort sagt du hade rätt Ture. Betydligt enklare att börja med att lösa ut v0 ur den linjöra. Här är min lösning:
Vilket stämmer överens med min plot i Desmos där jag gissade mig fram till ett värde för v0.

Tack för hjälpen!

Svara
Close