Stämmer dessa lösningar?
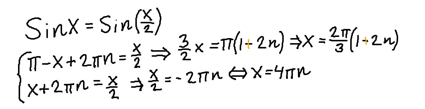
Jag har suttit lite med ekvationen sinx=sin(x/2) och jag tror att jag har fått rätt lösningar:

Men när jag slår ekvationen på wolfram får den dels fler lösningsmängder än jag samt en lösningsmängd som är enklare. Jag förstår inte varför detta sker och om det är så att mina lösningar inte stämmer. Wolfram listar följande lösningar:

Gör jag något fel i min ekvationslösning eller innehåller mina lösningsmängder samma element som Wolframs?
Ja, det är samma mängd. Tyvärr är det det ibland väldigt svårt för Mathematica att veta vilken lösningsmetod du använder samt på vilken form du föredrar ditt svar. Ibland kommer man en bit på vägen genom att göra en FullSimplify eller en Trigreduce.
Själv skulle jag svara och
Men hur vet man att mängderna är lika då, när de ser helt olika ut?
I enkla fall kan du kontrollera det genom att helt enkelt leta upp dina lösningar i Wolframs lösningsmängd och vice versa. Då har du visat att din mängd är en delmängd av Wolframs lösningsmängd samt att Wolframslösningsmängd är en delmängd av din. Alltså är mängderna exakt lika.
I mer komplicerade fall måste man använda formella metoder man lär sig ganska sent (fortsättningskurser på universitet/högskola)
D4NIEL skrev:Ja, det är samma mängd. Tyvärr är det det ibland väldigt svårt för Mathematica att veta vilken lösningsmetod du använder samt på vilken form du föredrar ditt svar. Ibland kommer man en bit på vägen genom att göra en FullSimplify eller en Trigreduce.
Själv skulle jag svara och
Men hur vet man att mängderna är lika då, när de ser helt olika ut?
I enkla fall kan du kontrollera det genom att helt enkelt leta upp dina lösningar i Wolframs lösningsmängd och vice versa. Då har du visat att din mängd är en delmängd av Wolframs lösningsmängd samt att Wolframslösningsmängd är en delmängd av din. Alltså är mängderna exakt lika.
I mer komplicerade fall måste man använda formella metoder man lär sig ganska sent (fortsättningskurser på universitet/högskola)
Hej! Är detta svaren på uppgiften?:
