Stokes sats

och en normalvektor till ytan måste ha positiv z-komponent om Γ genomlöps moturs sett från (0,0,20).
Så jag tänker att integralen blir
Men jag vet inte hur jag ska göra med området D. och jag tror jag kan byta till polära koordinater och få
Men integralen blir mycket svår att beräkna.
Ditt ytelement har inte rätt normering och du har landat i en svår integral. Försök istället så här:
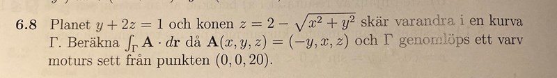
Planet och konen skär varandra längs en kurva i rymden. Om vi vill kan vi enkelt beräkna kurvans projektion på xy-planet. Den bildar nämligen nästan en cirkel, men inte riktigt. Använd konens ekvation för i planets ekvation. Isolera rotuttrycket och kvadrera båda led. Kvadratkomplettera och hyfsa till uttrycket. Vad får du för geometrisk figur?
Nu kan du parametrisera ytan i och (och sedan i och om du verkligen behöver).
När man parametriserar med får man normalen
Vad blir normalen i ditt fall? Hur ser integralen ut? Vad säger Stokes sats?
Arean av en ellips med halvaxlar och ges förövrigt av ...
Tack för hjälpen! Jag får området
Normalvektorn blir ju fel, vet inte vad jag tänkte. så då blir integralen med Stokes sats