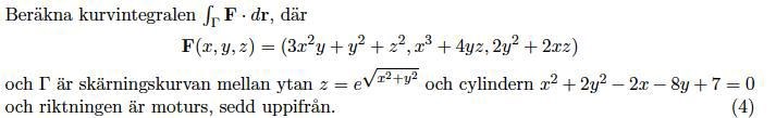
stokes sats.

Har kommit fram till att
så
kvadratkompletterar vi cylindern får vi ellipsen
så paramatiserar jag och får
,
men det känns fel. för detta tänkte jag sätta som gränser i integralen sen? eller ... hmm
Jag får rot F till nollvektorn.
Laguna skrev:Jag får rot F till nollvektorn.
Nee. Hur då?:)
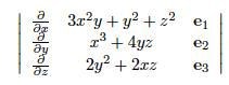
mrlill_ludde, om du visar hur du har fått fram att rotF=(0,0,-2y) kan vi hjälpa dig därifrån.
Smaragdalena skrev:mrlill_ludde, om du visar hur du har fått fram att rotF=(0,0,-2y) kan vi hjälpa dig därifrån.
???
Nu får jag samma som du.
Laguna skrev:
Nu får jag samma som du.
Och jag testade den andra med determinanteN (sitter på tåget så kommer åt datorn) men som få ser ut såhär
Det|{i,j,k},{d/dx.d/dy,d/dz},{P,Q,R}|
då får jag 0...
hur kan de skilja sig?
vilken metod använder man?
mrlill_ludde skrev:Smaragdalena skrev:mrlill_ludde, om du visar hur du har fått fram att rotF=(0,0,-2y) kan vi hjälpa dig därifrån.
???
Vad kom du fram till? Visa dina beräkningar för rotF.
Smaragdalena skrev:mrlill_ludde skrev:Smaragdalena skrev:mrlill_ludde, om du visar hur du har fått fram att rotF=(0,0,-2y) kan vi hjälpa dig därifrån.
???
Vad kom du fram till? Visa dina beräkningar för rotF.
Den där determinanten blir (4y-4y,2z-2z,3x^2x^2-2y) = (0,0,-2y)
Men med din länk får jag 0.
Rätt svar är . Jag vet inte hur ni beräknar determinanterna, men jag gillar själv Sarrus regel när man beräknar rotationer. Då får vi samma svar med båda metoder (om man är duktig med determinanter kan man direkt se att deras värden är samma om man gör två radbyten och sedan transponerar).
AlvinB skrev:Rätt svar är . Jag vet inte hur ni beräknar determinanterna, men jag gillar själv Sarrus regel när man beräknar rotationer. Då får vi samma svar med båda metoder (om man är duktig med determinanter kan man direkt se att deras värden är samma om man gör två radbyten och sedan transponerar).
Föredrar också Sarrus. Men aaa fick 0 med den första deterinant matrisen. Får kolla upp det
Okej vad nice:)
Men jag har fortf inte fått svar på min fråga :'D
Ja, ditt variabelbyte har blivit lite fel.
Stokes sats ger ju som du redan räknat ut att:
Härifrån skulle vi vilja ha ett variabelbyte som gav oss några fina trigonometriska ettor (på samma vis som i denna tråd). Till att börja med vill vi bli av med och i kvadraterna. Detta kan vi göra genom att addera och till respektive koordinat:
Men detta variabelbyte är fortfarande inte riktigt perfekt. Om vi prövar att sätta in det i får vi:
Tyvärr kan vi inte använda trigonometriska ettan här eftersom den där tvåan ställer till det. Om vi då tänker oss att vi skulle efter kvadreringen vilja ha delat på två så att den försvann blir det ju före kvadreringen delat på roten ur två, d.v.s. variabelbytet:
Prövar vi detta ser vi att vi får vår trigetta:
Voila! Detta är alltså variabelbytet vi eftersöker.
Tänk på att du inte får den gamla vanliga Jacobideterminanten med detta variabelbyte, utan du får multiplicera med en extra konstant.
Angående Jacobideterminanter för sådana här variabelbyten kan det vara bra att komma ihåg en egenskap från den linjära algebran, nämligen att om vi multiplicerar en rad eller en kolonn med en viss skalär multipliceras determinanten med samma skalär. Om vi har matrisen
och multiplicerar en rad med en skalär, t.ex. så att vi får matrisen:
så kommer denna matris determinant att vara lika med .
Denna egenskap kan vi använda oss av när vi skall räkna fram Jacobideterminanten. Eftersom vi vet att:
och eftersom vi multiplicerar med (konstanterna struntar vi i eftersom de försvinner när vi deriverar) kommer vi att få determinanten:
eftersom vi multiplicerat den nedre raden med skalären .
Detta trick är väldigt användbart i sfäriska koordinater eftersom man arbetar med krångligare determinanter där.
AlvinB skrev:Ja, ditt variabelbyte har blivit lite fel.
Stokes sats ger ju som du redan räknat ut att:
Härifrån skulle vi vilja ha ett variabelbyte som gav oss några fina trigonometriska ettor (på samma vis som i denna tråd). Till att börja med vill vi bli av med och i kvadraterna. Detta kan vi göra genom att addera och till respektive koordinat:
Men detta variabelbyte är fortfarande inte riktigt perfekt. Om vi prövar att sätta in det i får vi:
Tyvärr kan vi inte använda trigonometriska ettan här eftersom den där tvåan ställer till det. Om vi då tänker oss att vi skulle efter kvadreringen vilja ha delat på två så att den försvann blir det ju före kvadreringen delat på roten ur två, d.v.s. variabelbytet:
Prövar vi detta ser vi att vi får vår trigetta:
Voila! Detta är alltså variabelbytet vi eftersöker.
Tänk på att du inte får den gamla vanliga Jacobideterminanten med detta variabelbyte, utan du får multiplicera med en extra konstant.
Men varför delas inte konstanten 2 hos sin med ?
Därför att då tar den inte ut minus tvåan i parentesen. Eftersom står i parentesen behöver vi bara lägga till för att ta ut den. Se vad som händer om vi prövar med :
Vi får alltså inte alls det snygga uttryck vi vill ha om vi delar med .