Sträckan en cykloid roterar
Hej! Jag jobbar med en uppgift om omfångsrika problem. Jg har löst de första tre deluppgifterna men sitter fast på den sista. Här är frågan:
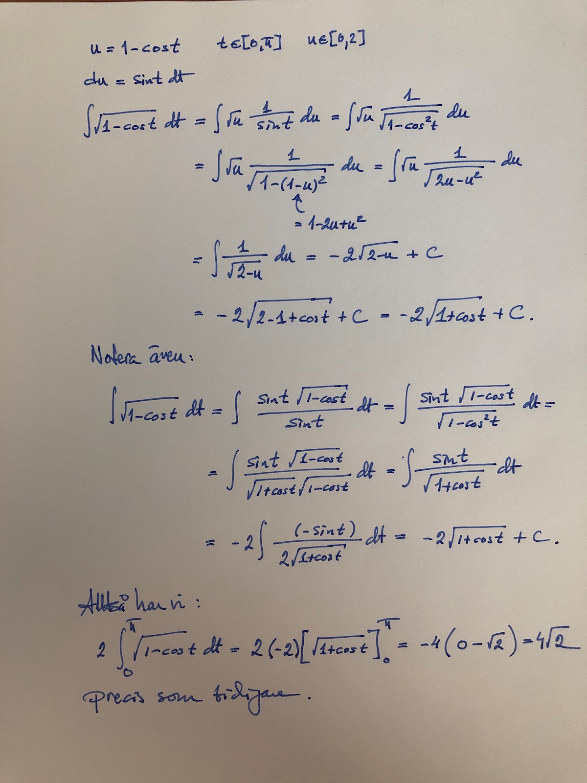
Jag har kommit en god bit fram, men vet inte hur jag räknar ut den primitiva funktionen. Här är min lösning:

Jag försökte lösa frågan med digitala verktyg, men jag får lösningar med signumfunktioner, som jag inte vet hur jag ska gå vidare med. Jag behöver hjälp med att ta fram en primitiv funktion, eller kanske råkade jag göra fel.
Du kan använda att cos(2x) = 2cos(x)-1.
Laguna skrev:Du kan använda att cos(2x) = 2cos(x)-1.
Är ej sant. Exponent glömd.
Trinity2 skrev:Laguna skrev:Du kan använda att cos(2x) = 2cos(x)-1.
Är ej sant. Exponent glömd.
Mm, cos(2x) = 2cos2(x)-1.
Laguna skrev:Trinity2 skrev:Laguna skrev:Du kan använda att cos(2x) = 2cos(x)-1.
Är ej sant. Exponent glömd.
Mm, cos(2x) = 2cos2(x)-1.
Dock enklare att gå över till sin^2(x/2) på intervallet [0,π] då fkn är symmetrisk runt π.
Ja du, detta är en riktig kluring. Det finns ju en anledning till att det finns tävlingar i integrering :).
Förutsatt att är oberoende av kan du bryta ut en del av uttrycket från integralen:
Detta är verkligen inte trivialt att integrera. Nu har jag tittat efter några fel, men jag skulle låta , vilket ger att , och sedan hade jag förlängt hela uttrycket med :
Om jag inte har gjort något knasigt nu borde detta vara ganska enkelt att integrera. Jag rörde inte integreringsgränserna här utan de får du omvandla själv om du inte bara substituerar tillbaka . I det sista steget förutsätts att i hela det aktuella intervallet, vilket jag inte har kontrollerat om det stämmer.
Håller tummarna för att jag inte gjorde något dumt slarvfel!
naytte skrev:Ja du, detta är en riktig kluring. Det finns ju en anledning till att det finns tävlingar i integrering :).
Förutsatt att är oberoende av kan du bryta ut en del av uttrycket från integralen:
Detta är verkligen inte trivialt att integrera. Nu har jag tittat efter några fel, men jag skulle låta , vilket ger att , och sedan hade jag förlängt hela uttrycket med :
Om jag inte har gjort något knasigt nu borde detta vara ganska enkelt att integrera. Jag rörde inte integreringsgränserna här utan de får du omvandla själv om du inte bara substituerar tillbaka . I det sista steget förutsätts att i hela det aktuella intervallet, vilket jag inte har kontrollerat om det stämmer.
Håller tummarna för att jag inte gjorde något dumt slarvfel!
En lättare väg:

Snyggt!
Trinity2 skrev:Laguna skrev:Trinity2 skrev:Laguna skrev:Du kan använda att cos(2x) = 2cos(x)-1.
Är ej sant. Exponent glömd.
Mm, cos(2x) = 2cos2(x)-1.
Dock enklare att gå över till sin^2(x/2) på intervallet [0,π] då fkn är symmetrisk runt π.
Mitt förslag var inte användbart alls, men vägen till 1-2sin2(x) är inte så lång.
Rättelse: sin(t/2)≥0 på [0,π] - slarv, men rätt skall vara rätt.
Mitt förslag var inte användbart alls, men vägen till 1-2sin2(x) är inte så lång.
Om det är någon tröst gjorde jag exakt samma tankefel först!
Trinity2 skrev:naytte skrev:Ja du, detta är en riktig kluring. Det finns ju en anledning till att det finns tävlingar i integrering :).
Förutsatt att är oberoende av kan du bryta ut en del av uttrycket från integralen:
Detta är verkligen inte trivialt att integrera. Nu har jag tittat efter några fel, men jag skulle låta , vilket ger att , och sedan hade jag förlängt hela uttrycket med :
Om jag inte har gjort något knasigt nu borde detta vara ganska enkelt att integrera. Jag rörde inte integreringsgränserna här utan de får du omvandla själv om du inte bara substituerar tillbaka . I det sista steget förutsätts att i hela det aktuella intervallet, vilket jag inte har kontrollerat om det stämmer.
Håller tummarna för att jag inte gjorde något dumt slarvfel!
En lättare väg:
Tack! Några av dessa reglerna för trigonometrisk identitet gick vi inte genon, jag antar att det var dessa jag saknade :)
Nu när jag försöker beräkna min lösning verkar den tyvärr inte stämma. Jag har nog gjort något fel någonstans. Ser tyvärr inte var så om någon är sugen får han gärna kolla igenom lösningen!
Jag hittade problemet. Det var precis det jag trodde, nämligen att överallt. Men kör på Trinitys lösning, den var riktigt snygg!
naytte skrev:Jag hittade problemet. Det var precis det jag trodde, nämligen att överallt. Men kör på Trinitys lösning, den var riktigt snygg!
Om vi begränsar oss till [0,π] så får vi

Notera att du gjorde ett litet teckenfel, annars hade du nog kommit vidare och till samma resultat.
Skall man vara strikt får vi begränsa oss till (0,π) för att kunna dividera med sin(t) men ändpunkterna har ingen större inverkan.
