Talserie
Hej, vet inte om detta är lämplig rubrik men behöver hjälp med följande uppgift:

Har skrivit dem fyra första heltalen för att hitta ett mönster. Kommit fram till att det ökar med 2 för varje k.
2 * 0 + 1 = 1
2 * 1 + 1 = 3
2 * 2 + 1 = 5
2 * 3 + 1 = 7
Detta hjälper dock inte. Hjälp uppskattas.
Jag kan hålla på såhär tills jag får 400 men det borde finnas ett bättre sätt, vet bara inte hur.
Funderar på att dividera med 2 på båda sidor, då blir det (k+1) = 200
Rätt svar är 19
Vet du formeln för en aritmetisk serie?
Den är användbar här.
Mattemats skrev:Vet du formeln för en aritmetisk serie?
Den är användbar här.
Hej, tack för svar.
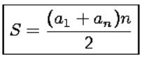
Yes, den känner jag till:

Jag känner dock inte till vad an och n ska bli. Hur använder jag den?
första talet i serien
sista talet i serien
antalet tal som ingår i serien. Här gäller det att tänka till hur många tal stårför.
Mattemats skrev:första talet i serien
sista talet i serien
antalet tal som ingår i serien. Här gäller det att tänka till hur många tal stårför.
Yes, det har jag förstått. Vet dock inte hur jag ska göra för att beräkna an och n.
a1 = 3
an = Känner vi till vad sista talet är i serien?
n = Tills vi uppnår 400 väl
Okej, bra.
Du har redan tagit fram de föra första talen i serien så det första talet har du, vilket?
det sista talet är ju det är ju det talet du ska hitta.
Du får skriva upp uttrycket för det istället = byt ut mot
Sedan multiplicerar du med antalet tal. Hur många är det om 0 är första talet och n är sista?
Den uträkningen ska sedan bli 400.
Gör du rätt blir det 19
Mattemats skrev:Okej, bra.
Du har redan tagit fram de föra första talen i serien så det första talet har du, vilket?
det sista talet är ju det är ju det talet du ska hitta.
Du får skriva upp uttrycket för det istället = byt ut mot
Sedan multiplicerar du med antalet tal. Hur många är det om 0 är första talet och n är sista?
Den uträkningen ska sedan bli 400.
Gör du rätt blir det 19
Jag fattar inte. Hur vet man hur många n som finns, eller vad det sista talet ska bli? Vi vet endast mönstret, och att vi vill få svaret att bli 400. Hur ger det oss n och an egentligen
Okej, det är lite klurigt håller jag med om.
Första talet i serien är ju lätt den är 1 (Som du räknade ut)
Är du med på att sista talet i serien är ?
ska ju gå från till n
Är du sedan med på att antalet tal blir ?
Det ger
Mattemats skrev:Okej, det är lite klurigt håller jag med om.
Första talet i serien är ju lätt den är 1 (Som du räknade ut)
Är du med på att sista talet i serien är ?
ska ju gå från till
Är du sedan med på att antalet tal blir ?
Det ger
Varför är antalet tal som är med ingår i serien n + 1 och inte 2n + 1?
Du ska ju summera från till
Tänk såhär att du känner till , låt oss säga att
Då kommer
Vara alla de tal som ska summeras enligt uttrycket då ser du att antalet tal
eftersom i detta exempel var
När en summering räknar från kommer alltid antalet tal vara 1 mer än sista uppräkningstalet.
Mattemats skrev:Du ska ju summera från till
Tänk såhär att du känner till , låt oss säga att
Då kommer
Vara alla de tal som ska summeras enligt uttrycket då ser du att antalet tal
eftersom i detta exempel varNär en summering räknar från kommer alltid antalet tal vara 1 mer än sista uppräkningstalet.
Tack så mkt för hjälpen.