2 svar
104 visningar
derb16 8 – Fd. Medlem
Postad: 11 jan 2019 23:30

Taylor/gränsvärde

Hej jag har två uppgifter här som jag inte kan lösa. Jag vet att jag har lösningarna men jag kan ändå inte se ett mönster. Hur kan jag lösa detta? vad är det för formel/mönster jag inte ser? Tack för hjälp

Albiki 5096 – Fd. Medlem
Postad: 11 jan 2019 23:47

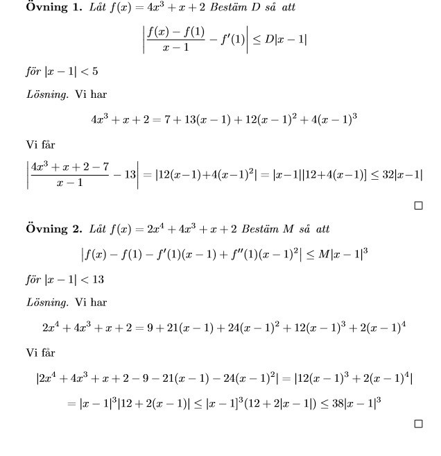
Övning 1.

Funktionen f(x)=7+13(x-1)+12(x-1)2+4(x-1)3f(x) = 7+13(x-1)+12(x-1)^2+4(x-1)^3 har värdet f(1)=7f(1) = 7 så differensen

    f(x)-f(1)=13(x-1)+12(x-1)2+4(x-1)3f(x) - f(1) = 13(x-1)+12(x-1)^2+4(x-1)^3

och när man dividerar differensen med x-1x-1 får man

    f(x)-f(1)x-1=13+12(x-1)+4(x-1)2\frac{f(x)-f(1)}{x-1}=13+12(x-1)+4(x-1)^2.

Subtraherar man talet 1313 från detta blir resultatet

    f(x)-f(1)x-1-13=12(x-1)+4(x-1)2=(x-1)·(8+4x).\frac{f(x)-f(1)}{x-1}-13 = 12(x-1)+4(x-1)^2 = (x-1)\cdot(8+4x).

När |x-1|5|x-1|\leq 5 ligger talet xx någonstans mellan talen -4-4 och 66 vilket betyder att talet 8+4x8+4·6=328+4x \leq 8+4\cdot 6 = 32 och man kan dra slutsatsen att

    |f(x)-f(1)x-1-13|32·|x-1|.|\frac{f(x)-f(1)}{x-1}-13| \leq 32\cdot |x-1|.

derb16 8 – Fd. Medlem
Postad: 12 jan 2019 01:06 Redigerad: 12 jan 2019 01:35

tack !

Svara
Close