Taylors Formel
Hej, vi har precis börjat gå igenom Taylors formel och jag förstår inte riktigt hur den ser ut? Läste lite på chalmers dokument (http://www.math.chalmers.se/cm/education/courses/0203/ala-b/heintz/taylor.pdf) om just taylors formel men fattar inte vad ''...'' ska föreställa?

Finns det någon som kan skriva hela formeln så att jag kan nöta in den? Samt förklaringar uppskattas då jag inte riktigt förstod så mycket av Chalmers text. Tack på förhand.
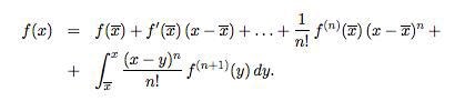
"+...+" betyder och så vidare; alla n-stycken termer följer samma princip som mönstret innan.
Taylor-utveckling är en approximation av en funktion runt någon punkt, säg . I din text så är punkten kallad istället för . Så runt punkten så kan vi approximera funktionen med hjälp av funktionens derivator. Själva taylor-utvecklingen kan använda formeln ., detta runt punkten .
Integralen kallas resttermen av taylor-utvecklingen.
Om du vill läsa mer och ha lite graf-exempel på vad Taylors teorem är så kan du läsa här:
https://en.wikipedia.org/wiki/Taylor%27s_theorem
woozah skrev :"+...+" betyder och så vidare; alla n-stycken termer följer samma princip som mönstret innan.
Taylor-utveckling är en approximation av en funktion runt någon punkt, säg . I din text så är punkten kallad istället för . Så runt punkten så kan vi approximera funktionen med hjälp av funktionens derivator. Själva taylor-utvecklingen kan använda formeln ., detta runt punkten .
Integralen kallas resttermen av taylor-utvecklingen.
Om du vill läsa mer och ha lite graf-exempel på vad Taylors teorem är så kan du läsa här:
https://en.wikipedia.org/wiki/Taylor%27s_theorem
Hmm, men det jag tog kort på var inte alls som det du skrev? Jag är ganska vilsen...
Fattar fortfarande inte vad ''...'' ska föreställa :(
Finns en uppgift, ''Write down the Taylor polynomial of order n for ln(x) in x = 1.''. Hur löser jag denna med hjälp av formeln du visade?
woozah skrev :"+...+" betyder och så vidare; alla n-stycken termer följer samma princip som mönstret innan.
Taylor-utveckling är en approximation av en funktion runt någon punkt, säg . I din text så är punkten kallad istället för . Så runt punkten så kan vi approximera funktionen med hjälp av funktionens derivator. Själva taylor-utvecklingen kan använda formeln ., detta runt punkten .
Integralen kallas resttermen av taylor-utvecklingen.
Om du vill läsa mer och ha lite graf-exempel på vad Taylors teorem är så kan du läsa här:
https://en.wikipedia.org/wiki/Taylor%27s_theorem
Tror jag fått det rätt nu!
Enligt wikipedia så är det såhär: f'(a)/1 (x-a) då blir nästa f''(a)/2! (x-a)^2 och så håller det på så, t ex. (a)/7! (där n är 7) , det är det ''...'' ska vara va?? :D
Supporter skrev :woozah skrev :"+...+" betyder och så vidare; alla n-stycken termer följer samma princip som mönstret innan.
Taylor-utveckling är en approximation av en funktion runt någon punkt, säg . I din text så är punkten kallad istället för . Så runt punkten så kan vi approximera funktionen med hjälp av funktionens derivator. Själva taylor-utvecklingen kan använda formeln ., detta runt punkten .
Integralen kallas resttermen av taylor-utvecklingen.
Om du vill läsa mer och ha lite graf-exempel på vad Taylors teorem är så kan du läsa här:
https://en.wikipedia.org/wiki/Taylor%27s_theorem
Tror jag fått det rätt nu!
Enligt wikipedia så är det såhär: f'(a)/1 (x-a) då blir nästa f''(a)/2! (x-a)^2 och så håller det på så, t ex. (a)/7! (där n är 7) , det är det ''...'' ska vara va?? :D
Ja, det är det som "..." ska vara, det kallas ellipsis. T.ex. 1,2,3,4,...,100 betyder att det fortsätter på samma sätt fram till 100.
Hej!
Istället för att skriva summan
så kan man skriva
Tanken är att läsaren ska ha förstått hur mönstret i additionen ser ut, så att man inte behöver skriva ut den långa fullständiga additionen. Det gäller att ta med tillräckligt många termer i additionen som visas upp att läsaren kan skönja mönstret.
Albiki