Taylorutveckling

Varför blir taylorutvecklingen detta? hur hänger sin(k+1/k) ihop med -sin(k-1/k)
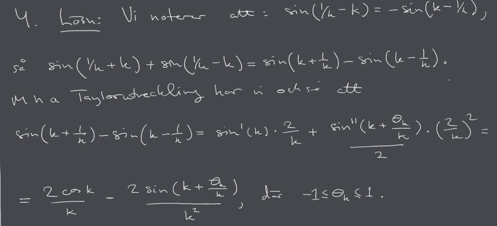
De utnyttjar det faktum att sin(x) är en udda funktion ( sin(-x) = -sin(x) ) för att få ett uttryck av formen
som kan uppskattas/beräknas med hjälp av Taylor-utvecklingen.
Varför blir taylorutvecklingen detta?
Du laddade upp lösningen. Men vad var frågan?
Och jag är rädd att lösningen på tavlan är fel.
Macilaci skrev:Varför blir taylorutvecklingen detta?
Du laddade upp lösningen. Men vad var frågan?
Och jag är rädd att lösningen på tavlan är fel.
Är uttrycket fel? Igentligen förstår jag inte hur man kommer fram till just den taylorutvecklingen. Gör man två stycken?
Ja, det är vad jag gjorde, två utvecklingar:
Vi tar bara de första två termerna:
I vårt fall:
och resultatet blir:
Macilaci skrev:Ja, det är vad jag gjorde, två utvecklingar:
Vi tar bara de första två termerna:
I vårt fall:
och resultatet blir:
Tack, då förstår jag. Finns mycket bakom lösningsförslagen så lätt att missa hur de tänker.