Triangelarean
Jag har fastnat på den här uppgiften:

Jag tänkte att jag skulle testa en persons påstående åt gången, så jag började med Arons vilket stämde.
Arean i figur 1 = 4*1/2 = 2
Arean i figur 2 = 5*0,8/2 = 2
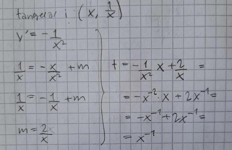
Sedan tänkte jag att jag skulle se om Carls påstående stämmer, eftersom om det stämmer kommer även Berts att stämma. Jag gjorde så här:

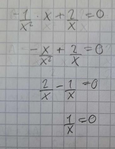
Men jag vet inte riktigt hur jag ska fortsätta, eftersom jag behöver veta var tangenten skär x-axeln för att räkna ut arean, men när jag försökte räkna ut det gick det inte riktigt.

Jag är ganska säker på att det borde vara så att arean alltid blir samma, oavsett tangeringspunkt, men jag kan inte riktigt bevisa det.
Vad du fick är inte linjens ekvation.
Börja igen, men kalla punktens koordinater x0 och 1/x0.
Linjens ekvation blir :
Beräkningen av m var korrekt:
Kan du fortsätta?
Japp, nu fick jag ihop det. Tack!