trig ekvation
Bestäm alla reella lösningar till
Testade att skriva sin(vl)=sin(hl), kom inte så långt med det.
Försökte rita en figur, gick inte så bra.
Försökte tänka lite på Definitionsmängden i HL o VL, men kom inte så långt med det
Nu bara höftar jag lite, men kan man kanske taylorutveckla funktionerna runt ?
Korra skrev:Bestäm alla reella lösningar till
Testade att skriva sin(vl)=sin(hl), kom inte så långt med det.
Försökte rita en figur, gick inte så bra.
Två jättebra steg! Om du tar sinus av båda led får du (inom definitionsmängden)
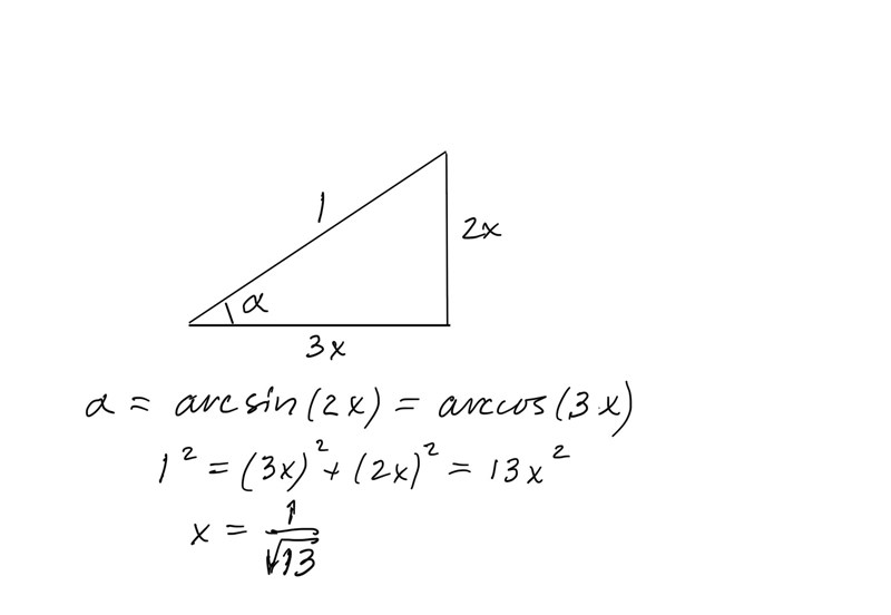
Vi kan nu se som en egen vinkel, som vi kan hitta i en rätvinklig triangel. Rita upp en rätvinklig triangel med sidan 3x:

Nu vill vi att vinkeln gamma ska vara lika med . Det är den, om hypotenusan är 1. Motstående katet måste då vara .
Vad blir då sinus av gamma? Tja, vi kan läsa av i triangeln att det är .
Vad blir då x? :)
Nya sätt att angripa trigonometriska ekvationer. Jag gillar det, det ger mig sakta men säkert en djupare förståelse för matematik.
tack jag förstår. x=1/sqrt13
.jpg?width=800&upscale=false)