Trigonometriska ekvationer ( flera olika typer) visning ) kommentar!



När skrev du dessa uträkningar?
Du gör jättemånga fel av typen
cos(x/2) = 0,31
cos(x) = 71,94° * 2
Du blandar alltså ihop vinklar med värden på trigonometriska funktioner, precis som du gjorde när du började med trigonometri.
Jag har två(tre) invändningar:
1. Du måste veta att inversen av är . Inte . Så det du gör är att du använder att per definition.
2. Använd inte notationen . Använd istället eller eller .
3. Sen förstår jag inte riktigt varför du tar med så många decimaler. Det borde räcka med maximalt 1 enligt mig.
4. Jag förstår egentligen inte dina uträkningar. Du skriver rätt ofta helt osammanhängande matematik. Du har först en ekvation av typen och sen helt plötsligt är det en implikation till att . Vad menas? (notera: Jag bara gjorde ett exempel som inte är något du skrivit)
Inte så länge sedan.
Då får du rätta mig med detta.
Päivi skrev :Då får du rätta mig med detta.
Ursäkta men, det handlar inte om att rätta dig. Du måste ju själv förstå vilka fel du gör. Jag har inte svarat dig särskilt ofta, men du gör ofta typen av fel som påtalas gång på gång. Sluta lös ekvationer och försök läsa på vad , och är. Du måste förstå vad dessa tre funktioner är innan du börjar med att lösa miltals av ekvationer helt fel.
Skriv uppgiften nummer, så får vi titta på det tillsammans.
Det pågår just nu fönster byte, vilket inte är roligt. Måste få veta, hur jag ska gå tillväga med detta.
Päivi skrev :Skriv uppgiften nummer, så får vi titta på det tillsammans.
Det pågår just nu fönster byte, vilket inte är roligt. Måste få veta, hur jag ska gå tillväga med detta.
Okej. Om är en vinkel, så är ett tal, vilket som helst mellan och . Att då skriva att är en vinkel är helt grundläggande fel. Det är helt enkelt inte sant att eftersom cosinus inte är en vinkel.
Det här felet gör du i många lösningar, och därför så kommer jag inte poängtera det.
Då kanske måste jag läsa detta från räkna till Max D boken. . Där tar de upp mera om sådant. Jag har inte lärt detta än. Detta finns i inte i matte matte 5000 4 beskrivet om detta.
En dålig sida i boken.
Jag kan göra ett exempel åt dig.
. Använd inversen på båda led:
, där
Notera att det är helt fel att skriva , då det skulle betyda att är en vinkel.
Hur får man arc cos i miniräknaren då?
Det är fönster byte på gång här. Jag vill inte få utskällningar eftersom jag inte har fått lära mig om detta.
Det finns om detta i räkna till Max D boken. Så långt har inte jag läst än. Då får jag fortsätta därifrån igår .
Jag kan inte gissa mig fram saker som jag inte har fått lära mig och sant få utskällningar. Då är man ute på fel sätt försöka hjälpa mig.
Det är en mycket dålig sida i matte 5000 att det inte finns om detta där. Jag går inte skola. Det står inget om sådant i boken.
Som du ser så har dom aldrig sagt att är en vinkel, det är ett tal. är däremot en vinkel.
Om arc cos tar de upp lite senare i räkna till Max boken.
Vad sin och tan vet jag, vad det är från matte A
där handlar det om vinklar och sträckor.
Vad jag har läst så har jag läst om ateasatsen, cosinus satsen och sinus satsen.
Det här arc cos har jag inte läst än. Då får jag fortsätta från räkna till Max D boken. Boken 5000 4 ät alltså en dålig bok.
är samma sak som . Det betyder samma sak men skrivs olika. Det bör ha tagits upp i trigonometri-kapitlet.
Nej, det har de inte tagit upp alls. Jag kan inte gissa saker som jag inte har fått lära mig och bli utskälld. Då är man fel ute. Jag kan inte se mina fel, när jag inte har fått lära det.
Vad menar du? I exemplet du skrev ovanför så använder de ju rakt av . Att du läser dåligt må vara, men säg inte att de inte skrivit ut det.
Det står ingenstans om arc cos eller liknande i den.
Det står ingenstans ordet arc cos, arc sin eller arc tan. Då har du läst fel själv,
Någon skärpning får det vara på er också. Man kan inte hoppa på folk hur som helst. Sådant här är inte ens roligt!
Jag menar inte Yngve.!
Det skulle vara väldigt intressant få veta hur gamla ni egentligen är. Jag tror att ni alla är yngre än mig.
Päivi, kan du förklara med egna ord hur man gör för att hitta cosinus för vinkeln 45 grader med hjälp av enhetscirkeln?
Kan du vänta lite tag. Jag håller på letar en sak här.
Päivi skrev :Det står ingenstans ordet arc cos, arc sin eller arc tan. Då har du läst fel själv,
Någon skärpning får det vara på er också. Man kan inte hoppa på folk hur som helst. Sådant här är inte ens roligt!
Jag menar inte Yngve.!
Jag förklarade i ett inlägg för dig att arccos(x) är samma som . I ett exempel du postade så står det klart och tydligt just arccos. Ergo; dom använde det. Så alltså är det förväntat att du ska kunna det.
DEssutom var det knappast jag som var en bortskämd snorunge som poängterade direkt att "då får du hitta felen", ungefär som att det är en uppift för oss att tillfredsställa dig.
Tack och lycka till med dina matematikstudier.
Vet man längden av närliggande kateten och vet även längden av motstående kateten.
Närliggande kateten dividerad med hypotenusan, men då måste längden vara korrekt för att det ska kunna bli 45 grader. Tar man det med enhets cirkeln.
Den är hälften av 90 grader. Jag höll på leta min gradskiva nyligen här.
smaragdalena skrev :Päivi, kan du förklara med egna ord hur man gör för att hitta cosinus för vinkeln 45 grader med hjälp av enhetscirkeln?
Berätta med ord hur du gör för att beräkna det exakta värdet för cosinus för vinkeln 45 grader med hjälp av enhetscirkeln.
Om man ska leta exakta värdet för cosinus 45 så har vi ett genom roten ur två. 1 måste i det här fallet vara cos alltså närliggande katet och det andra är hypotenusan.
Närliggande katet / hypotenusan. Vad man får där. Det måste sedan tas med cos -1. Nu kan jag inte skriva som jag vill från min telefon. -1 ska vara upphöjd menar jag.
Jag har inte sysslat med radianer än.
Päivi skrev :Om man ska leta exakta värdet för cosinus 45 så har vi ett genom roten ur två. 1 måste i det här fallet vara cos alltså närliggande katet och det andra är hypotenusan.
Närliggande katet / hypotenusan. Vad man får där. Det måste sedan tas med cos -1. Nu kan jag inte skriva som jag vill från min telefon. -1 ska vara upphöjd menar jag.
Nu har du inte använt dig av enhetscirkeln, som jag bad dig. I enhetscirkeln är radien alltid 1 - det är därför den heter enhetscirkeln, för att radien är en enhet.
Försök en gång till att förklara det exakta värdet av cosinus för vinkeln 45 grader med hjälp av enhetscirkeln.
Du har en bild på den.
1/roten ur två, då får man vinkeln för cosinus 45 grader.

Har skriver du fel. I det inringade så har du skrivit att detta är en omöjlighet, kan inte bli större än 1. Du har gjort flera fel av denna sort.
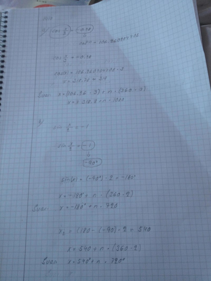
Om man har att
så man får att
Multiplicera båda sidor med 3 så får du
Det handlar om grader, det som du tar nu fram.
Ingenting kan vara mera än ett. Det vet jag också.
Vad menar du?
Jag har väl glömt skriva grader.
Där jag har ringat in? Det hjälper inte att du skriver grader, det skulle nog göra det ännu mer fel. Värdet på cosinus mäter man inte i grader, det är bara ett helt vanligt tal. Cosinus kan bara anta vanliga tal som ligger i intervallet [-1, 1]. Argumentet till cosinus kan vara i grader, dvs det du skriver mellan parenteserna efter cosinus, men inte själva värdet på cosinus.
Det som är under inringat är grader. Det andra är ett värde före, innan man kan ta till grader. Det måste alltid vara under ett.
Då borde jag ta bort cos (x) och inte alls ha den med. Skriva utan det.
Okej, men det är där jag har ringat in som det blir fel. Dels har du multiplicerat över 3:an samt att du skrivit att cos(x) = 106.260....*3, det stämmer helt enkelt inte.
Jag förstår vad du menar. Jag visste inte, hur man skulle skriva det. Enligt facit blev det korrekt.
Päivi skrev :Jag förstår vad du menar. Jag visste inte, hur man skulle skriva det. Enligt facit blev det korrekt.
Jag kan inte tänka mig att det stod i facit att cos(x) = 106.
Det är inte lätt kunna skriva, när man inte vet, hur man ska skriva. Då måste cos(x) bort. Bara ha x där.
Okej, ja det blir liknande i b) uppgiften då du skriver att . Det ska stå:
Sen multiplicera du båda leden med 2 så får du
Det här är minnes notering för mig. Om jag ska ta cosinus eller sinus vinkel av - 0.28. Mör jag har gjort det, då får jag fram 106.2. Den vinkeln ska jag multiplicera med tre. Då får jag fram rätta svaret som det står i facit.
Så här har jag gjort även i matte A och det har varit godkänt. Jac har sedan fått rätt svar. Jag har betyg MVG i matten.
Om det är svårt att förstå, visst kan jag göra prövningen i Finland.
Ok, ja du gör som du vill.
Jag har aldrig behövt åka till Finland bara för göra prövning. Hittills har det fungerat i Sverige.
-1 har med enhets cirkeln att göra. Detta är samma sak som 270 grader, när jag skrev -90 grader. Detta gäller för sinus.
Hej Päivi.
De här senaste beräkningarna ser mycket bättre ut än de du lade ut i trådstarten.
Ett par små detaljer bara:
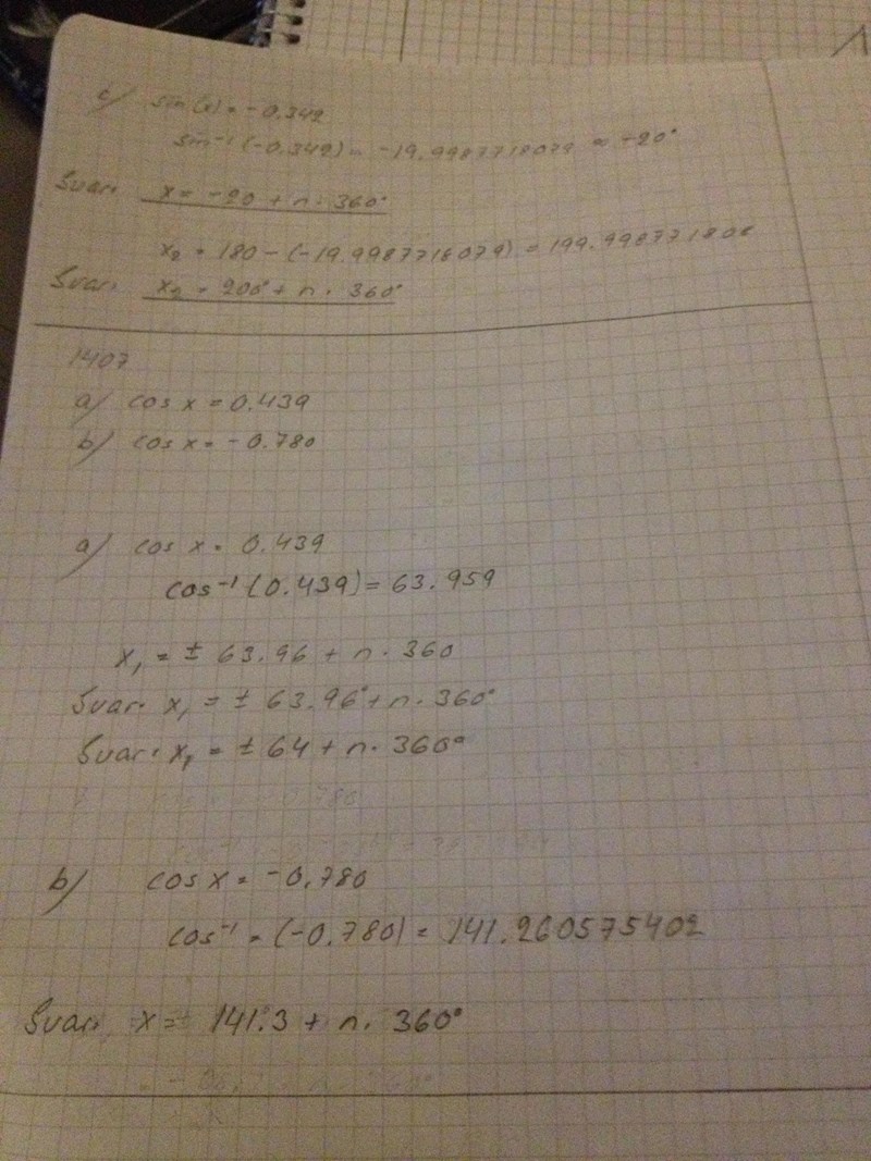
- När du skriver närmevärden (dvs inte exakta värden) ska du använda tecknet "ungefär lika med", dvs , inte likhetstecknet .
- , inte . Här har du alltså bara avrundat fel.
Jag tror att allting beror på följande (min fetstil i citatet):
Päivi skrev :Det här är minnes notering för mig. Om jag ska ta cosinus eller sinus vinkel av - 0.28. Mör jag har gjort det, då får jag fram 106.2. Den vinkeln ska jag multiplicera med tre. Då får jag fram rätta svaret som det står i facit.
Fråga: Är det alltså så att följande (gulmarkerade) endast är minnesnoteringar till dig och inte hör till själva uträkningarna (jag har endast tagit med klipp från de fyra första uppgifterna)?




Det kan man nog säga att det är det. Du har väl sett nu senaste som jag visade. Där tog jag bort det här som du hakade upp.
Varför jag har avrundade fel där, det beror på, vad det står i facit. Jag avrundade rätt från början, men fick högre siffra på det. Det var bara därför.
- Jag kan nog avrunda rätt. Står det 2, 99. Avrundar jag det gärna till 3. Står det 2.67, vill jag gärna avrunda det till 2.7. Det fanns speciella regler för detta kommer jag ihåg. Jag har ett minne om att om det är jämn tal och en femma med, ska man inte avrunda högre upp. Något sådant kommer jag ihåg.
Päivi skrev :Det kan man nog säga att det är det.
Där har vi i så fall problemet!
Du lägger upp dina uträkningar och ber oss att hjälpa dig att hitta eventuella fel, säga om det ser OK ut och så vidare. Och det är OK.
Men:
- I dina uträkningar har du lagt in "minnesanteckningar", som ser ut precis som vilka andra matematiska påståenden som helst, typ , och så vidare.
- Du skriver ingen som helst notering att detta endast är en minnesanteckningar ämnade för dig och att de inte hör till uträkningarna.
- Du lägger in minnesanteckningarna mitt i uträkningarna så att de ser ut som delresultat i dina uträkningar.
Då är det självklart att vi tror att det du skriver faktiskt hör till dina uträkningar.
Problemet är att de inte är matematiskt korrekta, vilket vi självklart påpekar.
Förstår du nu varför vi påpekade att det du skrivit inte var korrekt?
Päivi, håll dig till en uppgift per tråd i fortsättningen, tack. Regeln gäller även om du vill få din lösning rättad. /moderator
Regel 1.5
En tråd ska innehålla en fråga. Mindre delproblem som alla tillhör till samma huvuduppgift kan postas i samma tråd.
Det bästa kanske är att man skriver minnes notering. Då behövs det inte bedömas.
Päivi skrev :Det bästa kanske är att man skriver minnes notering. Då behövs det inte bedömas.
Det är såklart du får skriva noteringar och anteckningar, men om du skriver dem på ett sådant sätt att läsaren kan tro att de är matematiska påståenden så får du faktiskt räkna med att läsaren faktiskt tror att du har skrivit dem som sådana. Och då kan läsaren, som i detta fallet, få för sig att du inte vet skillnaden mellan vinklar och trigonometriska funktioners värden.
Skriv då hellre text som:
"Cosinus av 3x är 0,4, det betyder att 3x är plusminus cos^(-1)(0,4)"
Päivi skrev :
- Jag kan nog avrunda rätt. Står det 2, 99. Avrundar jag det gärna till 3. Står det 2.67, vill jag gärna avrunda det till 2.7. Det fanns speciella regler för detta kommer jag ihåg. Jag har ett minne om att om det är jämn tal och en femma med, ska man inte avrunda högre upp. Något sådant kommer jag ihåg.
"Avrundning uppåt" är s.k. "Svensk avrundning".
"Avrundning mot jämnt" är s.k. "Vetenskaplig avrundning"
Läs här om avrundning






