6
svar
214
visningar
Marcus N behöver inte mer hjälp
Trigonometriska uttrycket (bevisa)

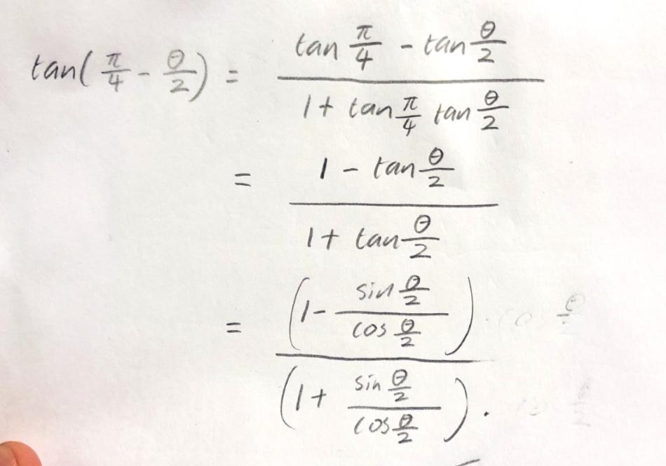
Min försök:


Jag är fastnat efter
Du kan utnyttja
(finns med i formelsamlingarna, och t.ex. här: https://www.youtube.com/watch?v=Ig9kscPBKQw)
Så blir
=...

Hur fick du den här?
Marcus N skrev:
Hur fick du den här?
Jag fick det genom att multiplicera både nämnaren och täljaren med sin2x.
Den här är våra formelsamling:


Den här tan(x/2) finns inte med.
Kan du komma på ett annat lösningsmetode som är relaterat till dessa formlerna som vi redan har gickt igenom.
Okej, tack för idén. Så blir det även mycket enklare. I stället för att använda formler för halva vinklar, vi ska ersätta .
Så blir uttrycket
Först använde vi tan(x-y), sedan multiplicerade vi med cos2x, nästan som ovan, sen använde sin(2x).
