2
svar
283
visningar
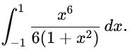
Trippelintegral.
Försöker lösa detta:
Jag kommer hit, sen tar det stopp.
Skulle behöva lite vägledning!
Snyggt! Du är nästan hemma!
I din integrand gömmer sig derivatan av . Tror du att partiell integrering skulle kunna fungera? :)
Utför polynomdivisionen, sedan blir det lätt.
(Notera att integranden är jämn varför du kan korta ner intervallet.)