Stoppa in i f(x) och förenkla. Kan du hitta ett värde på a som gör att man kan förenkla det uttrycket till x?
Nej, det är inte f(x) som skall vara lika med x, det är f(f(x)).
Du vet att så om du sätter in att x = på de båda ställen i f(x) där det står x, blir det .
Jag missar något. Men ser inte vad problemet är
Eftersom du har x2-termer, och resultatet skulle bli bara x, så måste x2-termerna ta ut varandra. För vilket a händer det?
Om a =-3 då försvinner x^2 termerna.
Och då blir ekvationen också 0.
Kan du ge mig en förklaring till hur eller vad som är viktigt att tänka på i en sån fråga.
Det viktiga för mig var att förstå det Smaragdalena skrev att man stoppade in hela ekvationen istället för x precis som när man stoppar in ett när det står f(1), men det är väldigt bra om man förstår det. Funktioner i funktioner är knepigt.
Sedan var själva ekvationslösningen också lite knepig. Lagunas tips var jättebra, men den går att lösa också, men uppriktigt sagt så kände jag mig svårt förvirrad efter min lösning då det blev en pq-formel inne i nästa pq. Möjligen går det att göra på enklare sätt.
Vad upplevde du som svårast M4t3m4t1k?
Jag förstår smaragdalenas tips, men sen blev det lite klurigt.
När jag fick andragradsekvationen. Då blev det klurigt. Ska jag faktorisera, använda pq formeln.
Men då sa laguna att x^2 termerna ska bort eftersom vi vill veta x. Och då tänkte jag, va?! Kan man göra så.
Nu när jag förstår uppgiften, så är det glasklart vad båda har gett för tips.
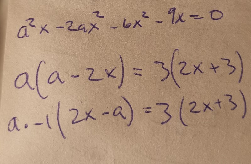
Och när jag faktoriserade båda sidor, så hade det också räckt för att se vad a skulle bli... a(a-2x)=3(2x+3)




