2
svar
150
visningar
Eli123be behöver inte mer hjälp
uppgift 1325



Hej jag har gjort följande fråga (a uppgift) däremot får jag fel svar och förstår inte varför, vore tacksam för hjälp. (Sista bilden är facit)
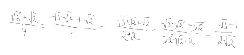
Ditt och facits svar är samma, bara skrivet på olika sätt.
Facits svar kan förenklas till ditt se:

Främst tror jag det har att göra med att ni valt att skriva cos 45 / sin 45 på olika sätt.
Vissa väljer att skriva det som
medan andra föredrar
Tack så jättemycket, då förstår jag :)