Uppgift 7.7 (Avbildningsmatris) - Linjär Algebra
Har helt kört fast på denna uppgift, hittar inte så mycket online heller.
Låt l vara linjen 2x-y=0, samt låt u=(3, 2).
a) Bestäm avbildningsmatrisen för den linjära avbildningen F:R^(2) --> R^(2) som svarar mot sned projektion av planets punkter på linjen l, i riktningen u.
b) Beräkna F(-1, 6).
Hej och välkommen på pluggakuten!
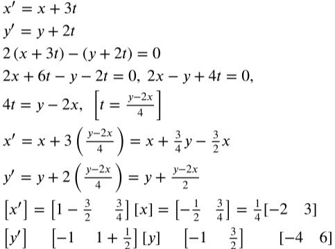
Om parametern är t, så blir avbildningen:
x' = x + 3t
y' = y + 2t
och x' och y' måste uppfylla ekvationen 2x' - y' = 0
Du kan uttrycka t med x och y.
Macilaci skrev:Hej och välkommen på pluggakuten!
Om parametern är t, så blir avbildningen:
x' = x + 3t
y' = y + 2t
och x' och y' måste uppfylla ekvationen 2x' - y' = 0
Du kan uttrycka t med x och y.

Postar mitt svar för fråga A här, tror jag tänkt rätt. Tack!
Ja.
Matrisen är:
Men ärligt talat förstår jag inte de två sista raderna. T.ex. x' beror ju på både x och y.