Utveckla och förenkla
Har fastnat här..

Du har utvecklat fel.
Vad är uppgiften? Skall du förenkla uttrycket ? I så fall skall du aldrig få fram några -termer.
Det skulle vara lättare att följa med i hur du tänker om du låter varje steg i förenklingen få en egen rad.
(Jag fick ner det till ett uttryck med bara 3 termer på tre rader - kvadrattermerna tog ut varandra.)
Skriv upp ursprungsuttrycket på första raden. Utför de båda multiplikationen på andra raden - eftersom det är ett plus mellan de båda termerna kan du ta bort parentsen direkt. Förenkla på tredje raden. Klart.
Jag tror du har missat att sätta ut ^2 i +x-termen på första raden, förutom det är det rätt. Dock tar du bort parentesen för tidigt. Du måste utveckla båda uttrycken på höger och vänster sida om + tecknet innan du adderar ihop dem eftersom det är multiplikation, det utförs alltid innan addition.
woozah skrev:Du har utvecklat fel.
Nej det är inte ekvationen..
woozah skrev:
Du har utvecklat fel
Vart
Smaragdalena skrev:Vad är uppgiften? Skall du förenkla uttrycket ? I så fall skall du aldrig få fram några -termer.
Det skulle vara lättare att följa med i hur du tänker om du låter varje steg i förenklingen få en egen rad.
(Jag fick ner det till ett uttryck med bara 3 termer på tre rader - kvadrattermerna tog ut varandra.)
Skriv upp ursprungsuttrycket på första raden. Utför de båda multiplikationen på andra raden - eftersom det är ett plus mellan de båda termerna kan du ta bort parentsen direkt. Förenkla på tredje raden. Klart.
Ja detta är uppgiften.. Vart är felet? Jag bör multiplicera sen första parantes med x inte allt elle hur..
Sabotskij83 skrev:Jag tror du har missat att sätta ut ^2 i +x-termen på första raden, förutom det är det rätt. Dock tar du bort parentesen för tidigt. Du måste utveckla båda uttrycken på höger och vänster sida om + tecknet innan du adderar ihop dem eftersom det är multiplikation, det utförs alltid innan addition.
Vilken första rad..? Okej jag ska försöka göra om
R.i.Al skrev:Sabotskij83 skrev:Jag tror du har missat att sätta ut ^2 i +x-termen på första raden, förutom det är det rätt. Dock tar du bort parentesen för tidigt. Du måste utveckla båda uttrycken på höger och vänster sida om + tecknet innan du adderar ihop dem eftersom det är multiplikation, det utförs alltid innan addition.
Vilken första rad..? Okej jag ska försöka göra om
Den inringade termen ska vara eftersom den ska vara produkten av från första parentesen och från andra parentesen:

va blir det inom parantesen sist?
Yngve skrev:R.i.Al skrev:Sabotskij83 skrev:Jag tror du har missat att sätta ut ^2 i +x-termen på första raden, förutom det är det rätt. Dock tar du bort parentesen för tidigt. Du måste utveckla båda uttrycken på höger och vänster sida om + tecknet innan du adderar ihop dem eftersom det är multiplikation, det utförs alltid innan addition.
Vilken första rad..? Okej jag ska försöka göra om
Den inringade termen ska vara eftersom den ska vara produkten av från första parentesen och från andra parentesen:
jahaa okej jag fixar det
EDIT -ser nu att du har sett felet.
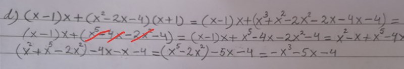
fick svaret -x^3-5x-4. Och det är fel i facit, va kan detta bero på...?
R.i.Al skrev:
fick svaret -x^3-5x-4. Och det är fel i facit, va kan detta bero på...?
Nu är första raden rätt, men det är fel på andra raden, se rödmarkerat. är inte lika med .

Jag hoppas att du bara slarvar? Annars bör du repetera algebran från tidigare kurser.
R.i.Al skrev:
fick svaret -x^3-5x-4. Och det är fel i facit, va kan detta bero på...?
Första raden är nu rätt. Men sen när du förenklar det du gjorde där blir det lite knasigt. Det är bara vid multiplikation av x-termer du kan addera exponenterna. Vid addition och subtraktion får du kolla efter termer av samma grad och beräkna dem för sig. Så;
Hela uttrycket blir då;
Sen måste du utveckla det första uttrycket; , innan du tar bort några parenteser och adderar de två uttrycken med varandra.
Sabotskij83 skrev:R.i.Al skrev:
fick svaret -x^3-5x-4. Och det är fel i facit, va kan detta bero på...?
Första raden är nu rätt. Men sen när du förenklar det du gjorde där blir det lite knasigt. Det är bara vid multiplikation av x-termer du kan addera exponenterna. Vid addition och subtraktion får du kolla efter termer av samma grad och beräkna dem för sig. Så;
Hela uttrycket blir då;
Sen måste du utveckla det första uttrycket; , innan du tar bort några parenteser och adderar de två uttrycken med varandra.
Jag fattar ej varför du har ändrat plustecknet mellan x^3+x^2. Svaret bör bli x^5 när vi skrivet x*x*x*x*x. Och sen får vi x^5 - 2x^2 hur gör vi här då? Blir det -x^3 ?
R.i.Al skrev:Sabotskij83 skrev:R.i.Al skrev:
fick svaret -x^3-5x-4. Och det är fel i facit, va kan detta bero på...?
Första raden är nu rätt. Men sen när du förenklar det du gjorde där blir det lite knasigt. Det är bara vid multiplikation av x-termer du kan addera exponenterna. Vid addition och subtraktion får du kolla efter termer av samma grad och beräkna dem för sig. Så;
Hela uttrycket blir då;
Sen måste du utveckla det första uttrycket; , innan du tar bort några parenteser och adderar de två uttrycken med varandra.
Jag fattar ej varför du har ändrat plustecknet mellan x^3+x^2. Svaret bör bli x^5 när vi skrivet x*x*x*x*x. Och sen får vi x^5 - 2x^2 hur gör vi här då? Blir det -x^3 ?
är lika med .
Det är inte lika med .
Va blir x^3 + x^2 ? Kan man inte säga x^5? Om inte vad ska det vara istället
R.i.Al skrev:Va blir x^3 + x^2 ? Kan man inte säga x^5? Om inte vad ska det vara istället
Nej det blir inte . Jag skrev i mitt senaste svar vad är.
Om du vill kan du faktorisera uttrycket, men det hjälper dig inte i just denna uträkning.
---------------
Jag tror att du blandar ihop det hela med multiplikation av två potensuttryck med samma bas.
Till exempel är , men det gäller endast vid multiplikation av potensuttryck.
I ditt fall har du addition av två potensuttryck och då kan man inte addera exponenterna.
Du bör nog repetera detta med potenser. Läs till exempel här.
R.i.Al skrev:Va blir x^3 + x^2 ? Kan man inte säga x^5? Om inte vad ska det vara istället
Vi kan inte säga vad det ska vara eftersom vi inte vet vad x är. Det är något tal upphöjt till 3 + samma tal upphöjt till 2. Innan vi vet vad x är så får man helt enkelt skriva x^3 + x^2. Hade det stått x^3 * x^2 hade vi dock kunnat skriva ihop det till x^5.
Du kan testa själv genom att anta att x är något tal... t.ex. 2.
Men om du har både x^2 och -2x^2 så har du termer av samma grad -- alltså ^2. Om vi igen antar att x är 2:
är det samma som att ta addition eller subtraktion av koefficienterna (siffran framför x-termen, som är en "osynlig" etta man inte skriver ut då man bara har ett x);
I facit står det x^3-7x-4. Hur kom de fram till x ^3 då
R.i.Al skrev:I facit står det x^3-7x-4. Hur kom de fram till x ^3 då
På exakt det sättet som du kom fram till x^3 i dina uträkningar.
Sabotskij83 skrev:R.i.Al skrev:I facit står det x^3-7x-4. Hur kom de fram till x ^3 då
På exakt det sättet som du kom fram till x^3 i dina uträkningar.
Men jag gjorde subtraktion och ni sa ju att man för ej göra detta. ....
R.i.Al skrev:Sabotskij83 skrev:R.i.Al skrev:I facit står det x^3-7x-4. Hur kom de fram till x ^3 då
På exakt det sättet som du kom fram till x^3 i dina uträkningar.
Men jag gjorde subtraktion och ni sa ju att man för ej göra detta. ....
Nej, du adderade exponenterna när du skulle subtrahera koefficienterna. Exponenten är den upphöjda siffran bakom x:et, koefficienten är den siffra som står framför x:et.
Du får fram genom att multiplicera med .
Smaragdalena skrev:Du får fram genom att multiplicera med .
X^3 har jag adderat sen med x^2 då blev det x^5
Till slut blev det x^5-2x^2
R.i.Al skrev:Smaragdalena skrev:Du får fram genom att multiplicera med .
X^3 har jag adderat sen med x^2 då blev det x^5
Men vi har ju flera gånger sagt att det inte stämmer.
R.i.Al skrev:Till slut blev det x^5-2x^2
Nej, det blev det inte.
Försök igen!
Börja med att multiplicera ihop och . Visa vad du får dessa båda multiplikationer till, så att vi kan se att du har fått dem rätt innan du går vidare.
Yngve skrev:R.i.Al skrev:Smaragdalena skrev:Du får fram genom att multiplicera med .
X^3 har jag adderat sen med x^2 då blev det x^5
Men vi har ju flera gånger sagt att det inte stämmer.
Jag fattar, men "Sabotskij83" skrev "På exakt det sättet som du kom fram till x^3 i dina uträkningar." när jag frågade om hur kom de till detta i Facit. Då förklarade jag åt hen att jag fick det på ett fel sätt.
Smaragdalena skrev:R.i.Al skrev:Till slut blev det x^5-2x^2
Nej, det blev det inte.
Försök igen!
Börja med att multiplicera ihop och . Visa vad du får dessa båda multiplikationer till, så att vi kan se att du har fått dem rätt innan du går vidare.
Jag får mer fel när jag gick den väg du hänvisar till..

Det beror på att du har tappat bort ett plustecken. Försök igen, och börja med att skriva av uttrycket korrekt.
Smaragdalena skrev:
Det beror på att du har tappat bort ett plustecken. Försök igen, och börja med att skriva av uttrycket korrekt.
Sista raden du menar okej jag fick detta, hur ska jag gå vidare? I facit står det x^3-7x-4. Alltså minus på 7 o 4.
Dessutom är det rätt att -x * - 6x =7x? Eller ska det vara - 6x^2? Och - x * - 2x^2 ska det bli 2x^3 eller3x^2? Jag blev förvirrad.
R.i.Al skrev:Smaragdalena skrev:
Det beror på att du har tappat bort ett plustecken. Försök igen, och börja med att skriva av uttrycket korrekt.
Sista raden du menar okej jag fick detta, hur ska jag gå vidare? I facit står det x^3-7x-4. Alltså minus på 7 o 4.
Nej du har glömt att skriva plustecknet på första raden. Se bild, jag har lagt in det åt dig (rödmarkerat):

R.i.Al skrev:Dessutom är det rätt att -x * - 6x =7x? Eller ska det vara - 6x^2? Och - x * - 2x^2 ska det bli 2x^3 eller3x^2? Jag blev förvirrad.
Se mitt förra svar. Det ska inte vara en multiplikation utan en addition.
Yngve skrev:R.i.Al skrev:Dessutom är det rätt att -x * - 6x =7x? Eller ska det vara - 6x^2? Och - x * - 2x^2 ska det bli 2x^3 eller3x^2? Jag blev förvirrad.
Se mitt förra svar. Det ska inte vara en multiplikation utan en addition.
Jahaaa ursäkta mig, sånt händer när man har mkt i huvudet.. Ocj det var länge sen jag läste matte b, man glömmer litem. Jag ska göra om uppgiften,tack
Smaragdalena skrev: