Vad är nodlinjer och centralmaxima?
Stämmer min uppfattning om vad dessa saker är?:
Två vågkällor med ett särskilt avstånd från varandra kommer sända ut vågor. Dessa kommer på vissa ställen mötas och förstärkas och på vissa ställen mötas och släcka ut varandra. Alla de punkter där de förstärker varandra ligger på räta linjer, 1:a, 2:a osv ordningens maximum. Alla de punkter där de tar ut varandra ligger också på räta linjer, 1:a, 2:a osv nodlinjen.
Om man tar en av punkterna som ligger på t.ex. första nodlinjen, då är avståndet i skillnad från vågkällan A till punkten och vågkällan B till punkten exakt en halv våglängd.
Jag tycker det du skriver stämmer. Förutom att linjerna inte är räta, utan blir hyperboler. (Centralmax är rät)
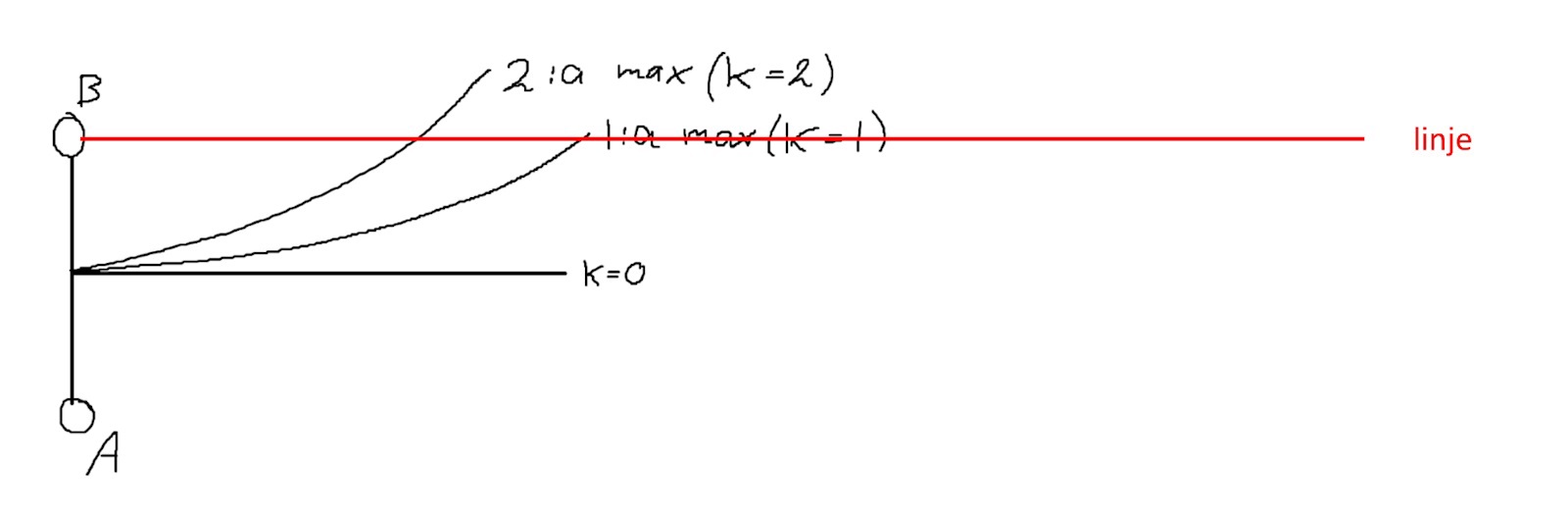
Jag återupplivar denna tråd lite för att ställa en följdfråga. Så som jag förstår det ser ett typiskt interferensmönster ut ungefär så här:

Så varje punkt på dessa hyperbola linjer blir ett ljudmaximum, och varje linje får ett värde på k (k=1, 2, 3 osv...). Men nu stötte jag på följande uppgift:

Nu ligger k=1 och k=2 på samma räta linje. Hur funkar detta? Jag trodde att varje linje motsvarade ett värde på k. Fattar ingenting.
Det löste sig! Jag fattar hur det fungerar. Man stöter helt enkelt först på den ena hyperbolen k=1 och sedan den andra k=2.
Prova att gå efter linjen som jag ritade i din figur:

Du kan också tjuvkika lite på https://www.pluggakuten.se/trad/strackan-ap/