Vad händer med 5/0.5x?
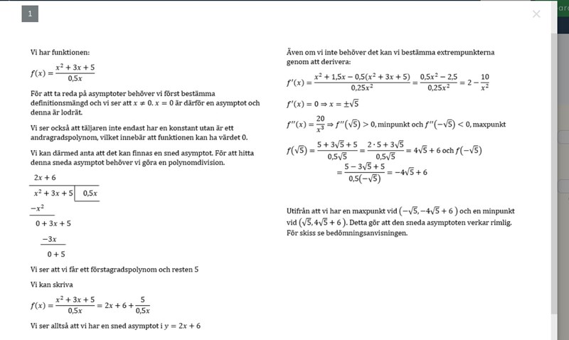
Hej, på den här uppgiften ska mna hitta en lodrät och en sned asymptot. Så det jag gjorde var att polynomdividera funktionen. Dock får jag en rest på 5 och undrar vart den försvinner eftersom den sneda asymptoten bara motsvarar y=2x+6. Om ni inte förstår vad jag menar skriver lösningsförslaget det jag menar längst ner till vänster.

Då x går mot positiva/negativa oändligheten så går termen 5/(0,5x) mot 0.
Ok, sedan har jag en til fråga. Hur vet man om det blir en sned eller en vågrät asymptot. Finns det några kännetecken på uttrycket?
Sorry missade att svara på detta.
Om du har en rationell funktion med ett polynom av grad m i täljaren och ett polynom av grad n i nämnaren så finns det en
- vågrät asymptot om m = n
- sned asymptot om m = n+1
Du kan läsa mer om asymptoter här.