Vad händer med ester blandningen när Svavelsyra tillsätts? uppskattar ett svar innan söndagen!
Vi gjorde en laboration där vi skapade olika estrar, och vi tillsatte en droppe svavelsyra som en katalysator till blandningen av alkohol och syra. Jag undrar vad syftet med detta var, och om det finns något specifikt som svavelsyran gör i denna reaktion. Jag frågade min lärare, och han sa att svavelsyran leder till att vätejoner bildas och att den också hjälper till att minska mängden vatten, vilket gör att mer ester bildas. Jag förstår inte riktigt vad det innebär, och skulle uppskatta om nån kan förklara detta för mig innan söndagen.
Här är laborationen:
Framställning av estrar
Inledning
Flera angenäma doftämnen är estrar. Estrar är ganska vanliga i det vi äter. Det är ofta en blandning av olika estrar som ger smaken och lukten på frukter och blommor. Ofta är det en ester som är den dominerande doften i en frukt. Estrar utnyttjas inom parfymindustrin och när man vill ha smakämnen i godis, drycker och bakverk.
För att vi ska få märkbar hastighet på reaktionen tillsätter vi en katalysator, t.ex en stark syra i vårt fall konc. svavelsyra.
OBS! Vi använder starka syror. Använd skyddsglasögon och skyddsrock. Spill torkas upp. Spill på hud sköljs med mycket vatten. Kemikalierester kan sköljas ut i vasken med mycket vatten.
Material
Provrör, provrörsställ, plastpipetter, bägare, sked, alkoholer, organiska syror och svavelsyra.
Utförande
Ställ i ordning ett kokande vattenbad.
Blanda en av syrorna med en av alkoholerna (valfritt) i ett provrör. Tillsätt ca 2 cm3 av syran respektive alkoholen i provrör, om syran är fast använd ca 1 g.
Tillsätt 1 droppe svavelsyra var försiktig då det utvecklas värme så vätskan kan stötkoka. Använd en kork eller en bit al-folie eller parafilm över öppningen. Skaka så lösningen blandas.
Sätt provröret i vattenbadet i 4-5 minuter.
Ta upp röret och lukta försiktigt på innehållet. Lukten kan bli starkare om man häller ut innehållet i en bägare med varmt vatten eller spolar varmvatten i vasken och slår ut innehållet där.
Anteckna lukten och gör ytterligare några estrar.
Rapporten
Skriv reaktionsformler. Vilka lukter ni fick fram? Kan ni namnge estern ni framställt? Rita strukturformel. Vad händer om du tillsätter en bas till din syra + alkohol + ester blandning?
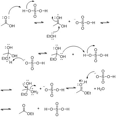
Svavelsyran öppnar upp en snabbare reaktionsväg genom att protonera ett syre i karboxylgruppen, se nedan. Denna reaktionsväg är inte möjlig utan syran utan då krävs en annan, långsammare mekanism.

Så genom att tillsätta svavelsyran i blandningen så bildas estern reaktionen snabbare?
Ja.
Tack för snabba svaren!!!