Vad händer med M^2?

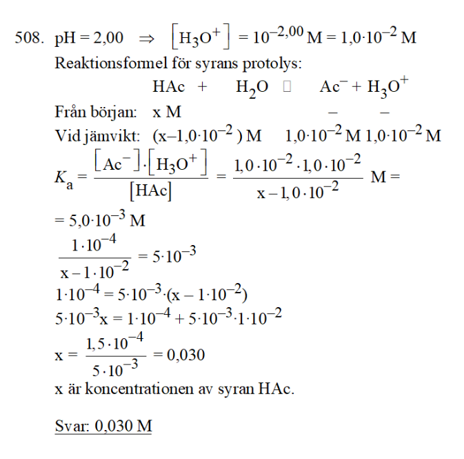
Hej jag försökte lösa denna och kom fram till att pH:et var 1,3. Men då antog jag att syran var H(Ac)2, eftersom det står M^2. Men i facit bryr de sig inte alls om det. Kan man göra som dem?

tacksam för svar.
Egentligen ska syrakonstanten inte ha någon enhet. Rent strikt sett är jämviktskonstanten en kvot av reaktanternas aktiviteter, som är en enhetslös storhet. Aktivitet kan approximeras som _mätetalen_ av koncentrationerna för de ingående species. Det innebär att syrakonstanten också är enhetslös.
Med det sagt...
Betecknigen innebär att det är en enprotonig syra. Mer specifikt är ättiksyra () och den genomgår som vi alla vet endast ett protolyssteg.
naytte skrev:Egentligen ska syrakonstanten inte ha någon enhet. Rent strikt sett är jämviktskonstanten en kvot av reaktanternas aktiviteter, som är en enhetslös storhet. Aktivitet kan approximeras som _mätetalen_ av koncentrationerna för de ingående species. Det innebär att syrakonstanten också är enhetslös.
Med det sagt...
Betecknigen innebär att det är en enprotonig syra. Mer specifikt är ättiksyra () och den genomgår som vi alla vet endast ett protolyssteg.
Tack, varför står det M^2 i frågan då? Jag fick för mig att HAc bara var en godtycklig syra... missförstod det alltså
Tack, varför står det M^2 i frågan då?
För att vissa läroböcker (felaktigt) använder kvoten av koncentrationer som definition, och då behålls enheterna. Men det är alltså fel egentligen. Varför det däremot står istället för vet jag inte. Jag håller med om att det borde stå .
naytte skrev:Tack, varför står det M^2 i frågan då?
För att vissa läroböcker (felaktigt) använder kvoten av koncentrationer som definition, och då behålls enheterna. Men det är alltså fel egentligen. Varför det däremot står istället för vet jag inte. Jag håller med om att det borde stå .
Tack!!
soobin skrev:
Hej jag försökte lösa denna och kom fram till att pH:et var 1,3. Men då antog jag att syran var H(Ac)2, eftersom det står M^2. Men i facit bryr de sig inte alls om det. Kan man göra som dem?
Så det kvadrattecknet verkar vara ett tryckfel. Eller slarv för någonting annat, eftsom värdet av Ka om jag googlar verkar vara 1.76 x 10-5 (enhetslöst).
Det är inte nödvändigtvis slarv att ha med enhet, för vissa lärobäcker använder som sagt felaktigt koncentrationerna istället för koncentrationernas mätetal när de definierar jämviktskonstater. De menade nog bara molar som enhet.
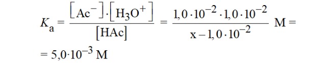
Våt kemi är inte mitt ämne, men jag fårstår inte värdet 5 x 10-3 M heller, hur det kan vara samma som litteraturvärdet för ättiksyra 1,8 x 10-5. För det är inte bara den där faktorn av 1000/18 = 55 mol/liter. Eller är det någon faktor 2 som jag glömt?
Spontant tänker jag att det kanske är under andra betingelser än normalt. Man kan ju använda van't Hoffs ekvation för att approximera jämviktskonstanten under olika temperaturer givet entalpiförändringen under standardförhållanden (under antagandet att standardreaktionsentalpin är lika stor vid båda temperaturerna):
Och om vi räknar baklänges så kan vi räkna fram vilken temperatur som approximativt skulle behöva råda för att vi skulle få den jämviktskonstanten:
För jämvikt (1) kan vi enkelt beräkna entalpiförändringen vid standardtemperatur och standardförhållanden med Hess lag:
Detta kan vi nu använda i den integrerade formen av van't Hoffs ekvation:
En rätt låg temperatur med andra ord...
Slutsatsen är alltså (tror jag) att värdet är helt knasigt och att läraren bara har höftat fram det. Vid standardförhållanden skulle ju vattnet vara fruset så det skulle ju omöjligen kunna ske någon protolys.
Jag såg nu att jag hade råkat använda fel bildningsentalpier... Bildningsentalpin jag använde för ättiksyra var för den fasta fasen och för acetatjonen lyckades jag på något sätt använda entalpin för gasfasen. Detta är inte direkt värden som är lätta att hitta... men med lite fyndighet tror jag att man kan räkna fram det rätt.
Jag ska revidera beräkningen senare och återkomma. Hur som helst tror jag fortfarande att läraren bara har höftat fram något värde.

